Ostatnia aktualizacja :
18/03/2026
Lek przeciwgrzybiczny   Amphotericin B  
Aerozol
Injekcje Krople oczne Roztwór do płukania gardła Roztwór doustny
Stabilność preparatów farmaceutycznych Trwałość w mieszaninie Czynnik wpływający na trwałość Zgodność Bibliografia pdf
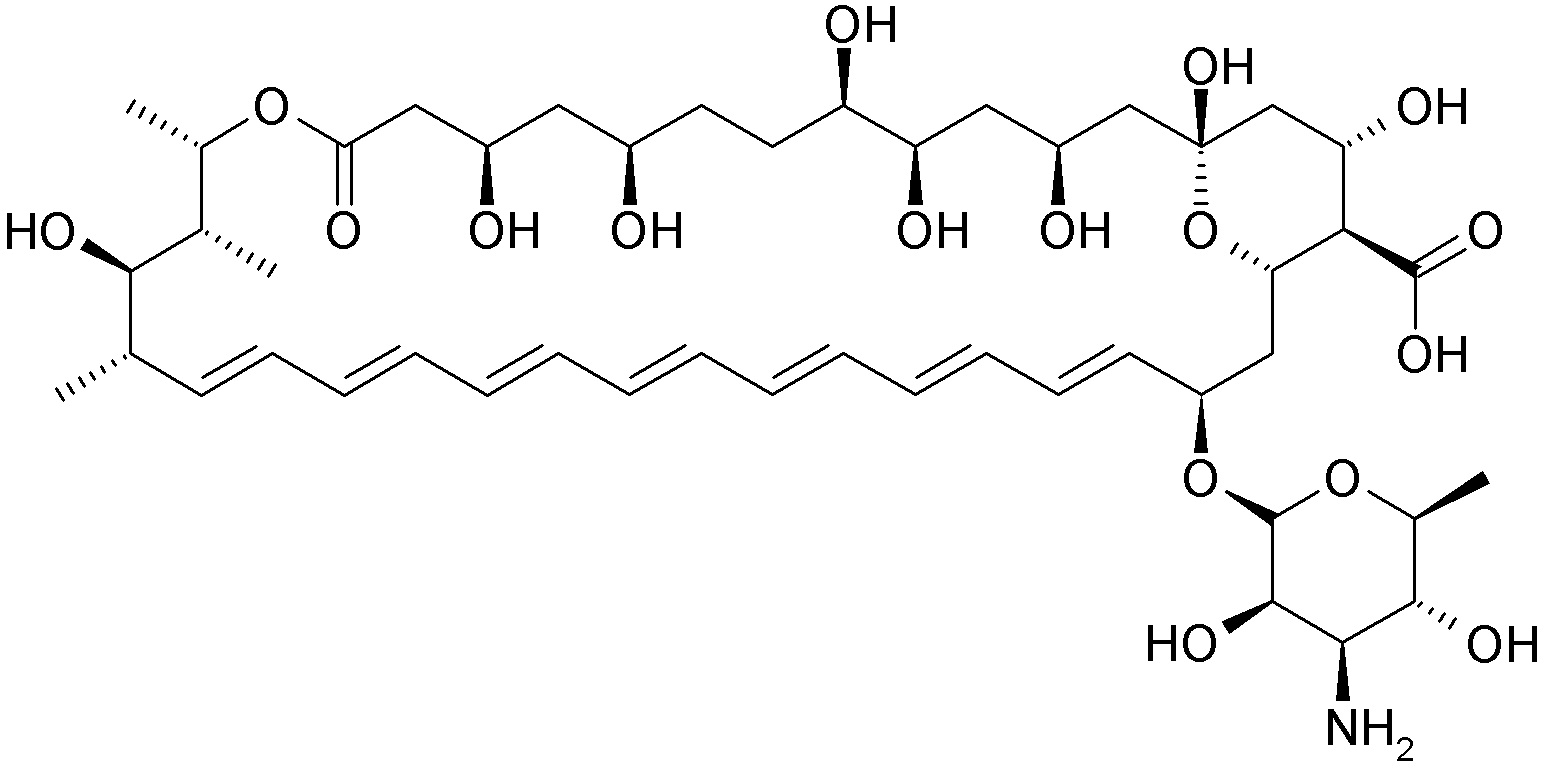
   Struktura chemiczna  

Aerozol
Trwałość w mieszaninie   Aerozol   Trwałość w mieszaninie : Amphotericin B     
Brak danych

  Mentions Légales