Senaste uppdateringen :
18/03/2026
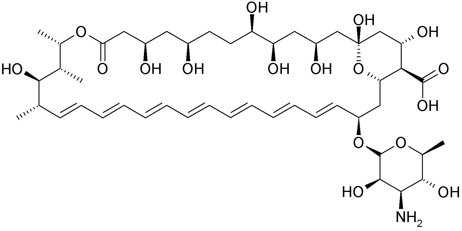
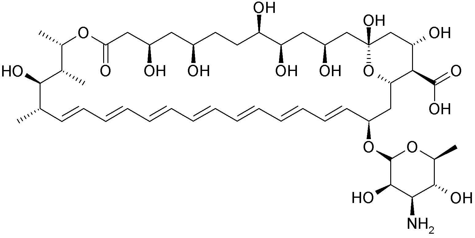
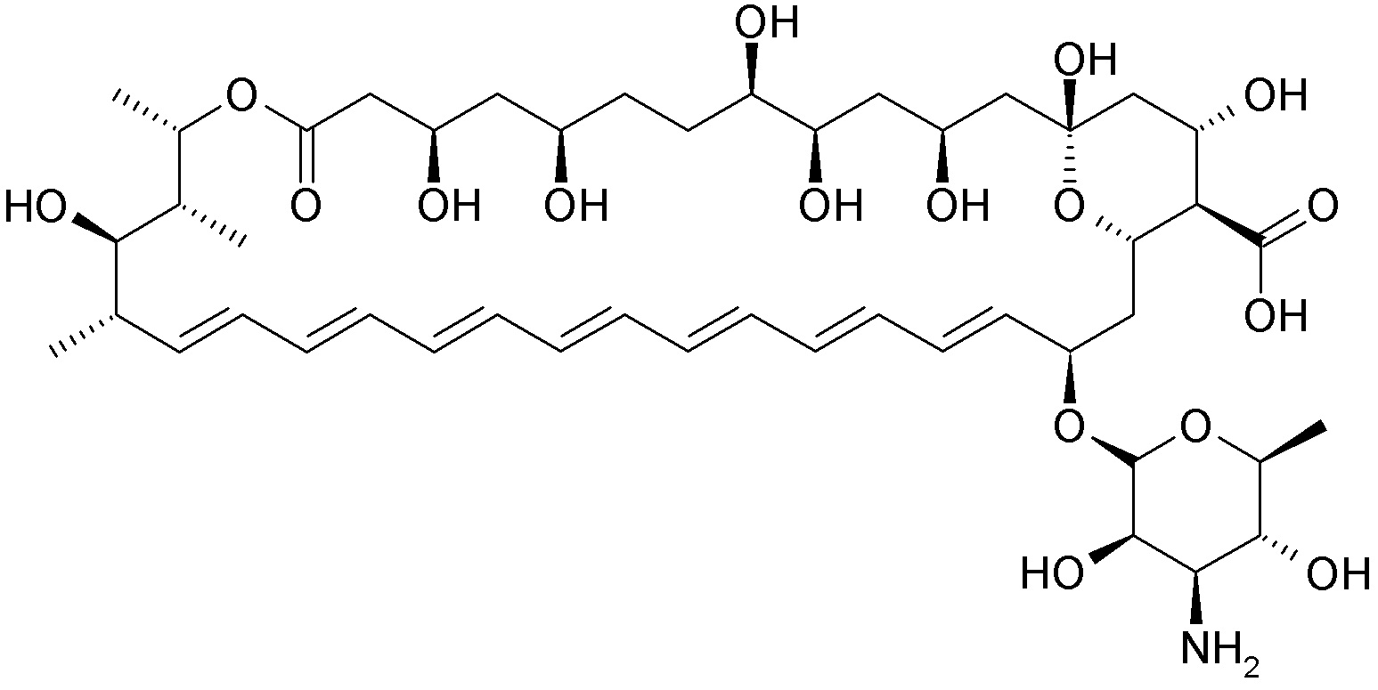
Antimykotikum   Amphotericin B  
Aerosol
injektion Munvatten ögondroppar Oral lösning
Stabilitet av läkemedel Stabilitet i blandningar Faktorer som påverkar stabiliteten Kompatibilitet Hänvisningar pdf
   Molekylstruktur  

Aerosol
Stabilitet i blandningar   Aerosol   Stabilitet i blandningar : Amphotericin B     
Ingen uppgift

  Mentions Légales