Poslední aktualizace :
18/03/2026
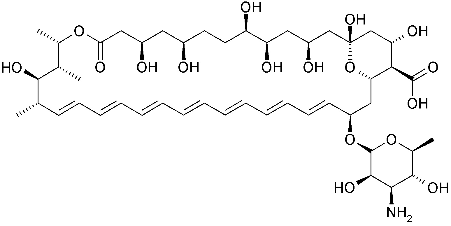
Protiplísňový přípravek   Amphotericin B  
Aerosol
Humbuk injekce kloktadlo Perorální roztok
Stabilita farmaceutických přípravků Stabilita směsí Faktory ovlivňující stabilitu Kompatibilita Odkazy pdf
   Chemický vzorec  

Aerosol
Stabilita směsí   Aerosol   Stabilita směsí : Amphotericin B     
žádná data

  Mentions Légales