Posledná aktualizácia :
27/11/2025
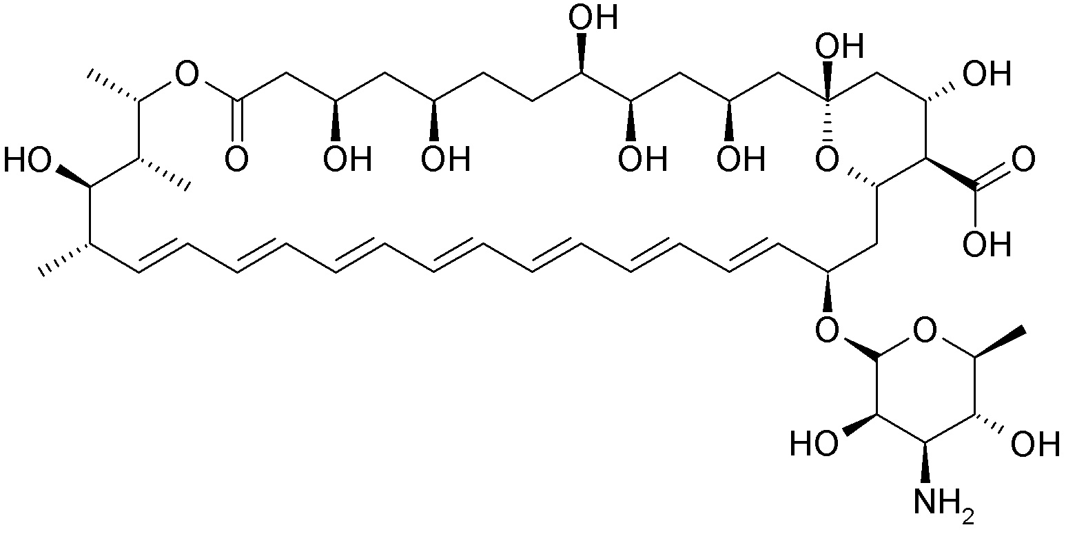
antimykotikum   Amphotericin B  
Aerosól
Injekcia Kloktadlo Očná instilácia Perorálny roztok
Stabilita farmaceutických prípravkov Stabilita v zmesiach Faktory ovplyvňujúce stabilitu Kompatibility Odkazy na literatúru PDF
   Chemický vzorec  

Aerosól
Stabilita v zmesiach   Aerosól   Stabilita v zmesiach : Amphotericin B     
žiadne údaje

  Mentions Légales