zadnja posodobitev :
27/11/2025
Antimikotik   Amphotericin B  
Aerosol
Brizgalka Kapljice za oči Peroralna raztopina Ustna voda
Stabilnost farmacevtskih preparatov Stabilnost mešanice Faktorji, ki vplivajo na stabilnost Kompatibilnost Viri pdf
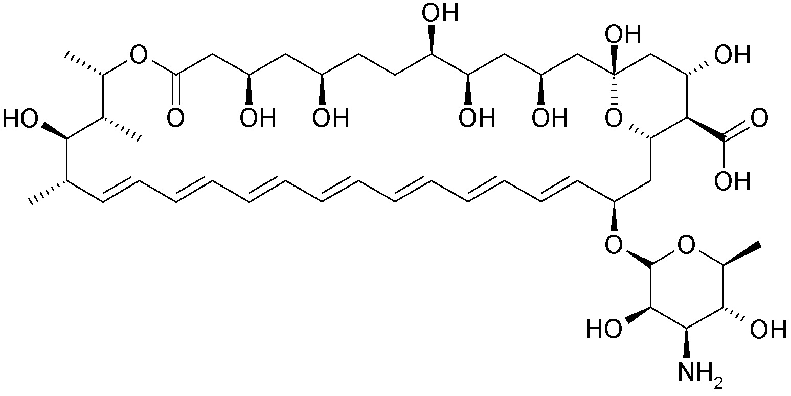
   Kemična formula  

Aerosol
Stabilnost mešanice   Aerosol   Stabilnost mešanice : Amphotericin B     
ni podatka

  Mentions Légales