Letztes “update” :
18/03/2026
Antifungoid   Amphotericin B  
Aerosol
Augentropfen Injektion Lösung zum Einnehmen Mundspüllösung
Stabilität von pharmazeutischen Präparaten Gemengestabilität Stabilitätbeeinflussende Faktoren Kompatibilitäten Literaturverzeichnis pdf
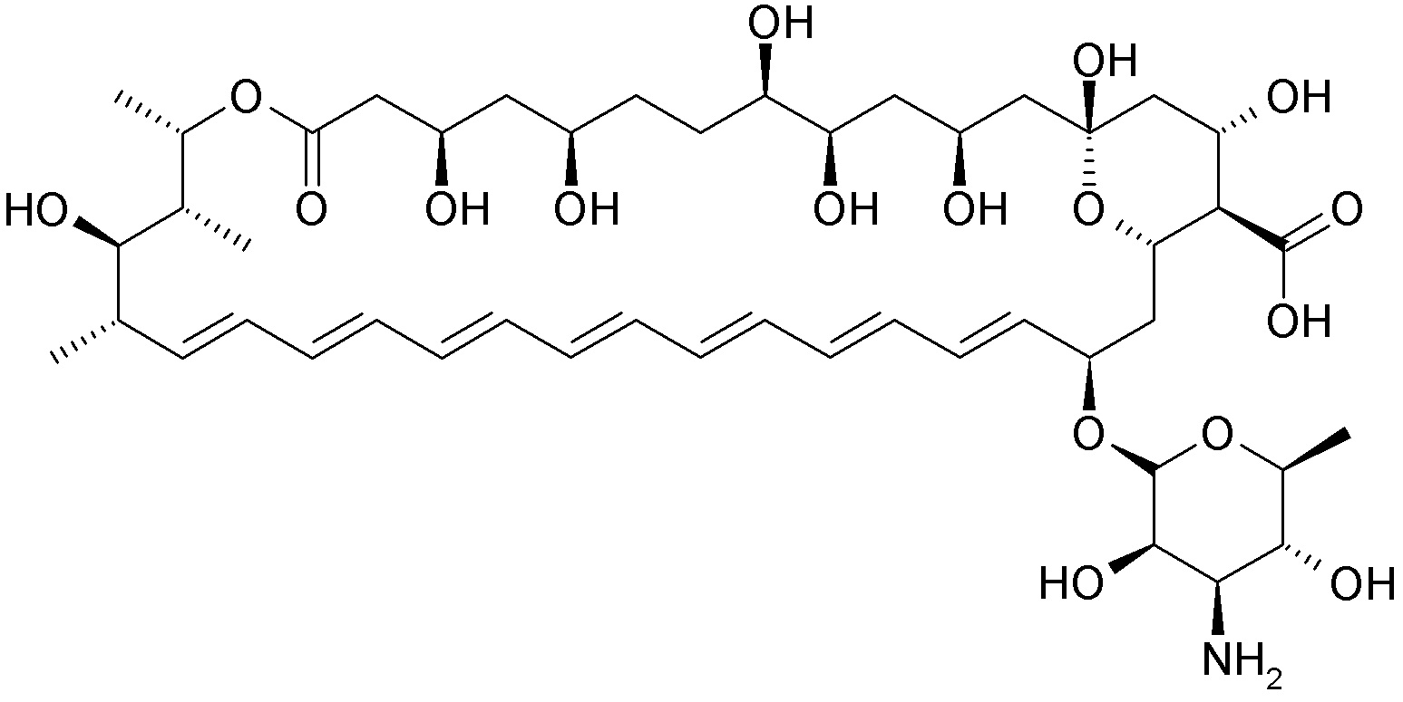
   Chemische Struktur  

Aerosol
Gemengestabilität   Aerosol   Gemengestabilität : Amphotericin B     
Keine Daten

  Mentions Légales