Last update :
27/11/2025
Antifungal   Amphotericin B  
aerosol
Eye-drops injection Mouthwash Oral solution
Stability of pharmaceutical preparations Stability of mixtures Factors which affect stability Compatibility References pdf
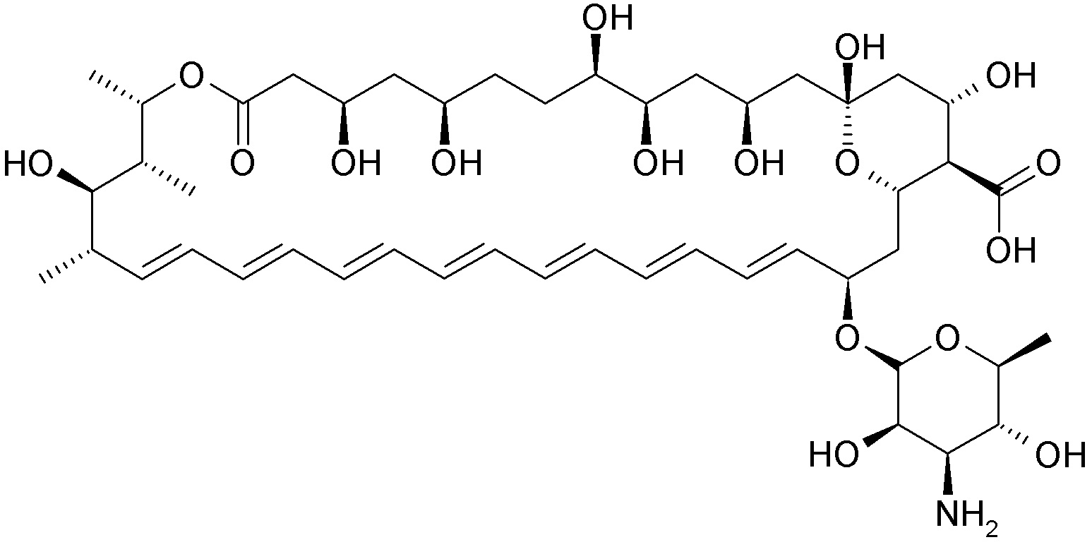
   Chemical structure  

aerosol
Stability of mixtures   aerosol   Stability of mixtures : Amphotericin B     
No data

  Mentions Légales