Cập nhật lần cuối :
18/03/2026
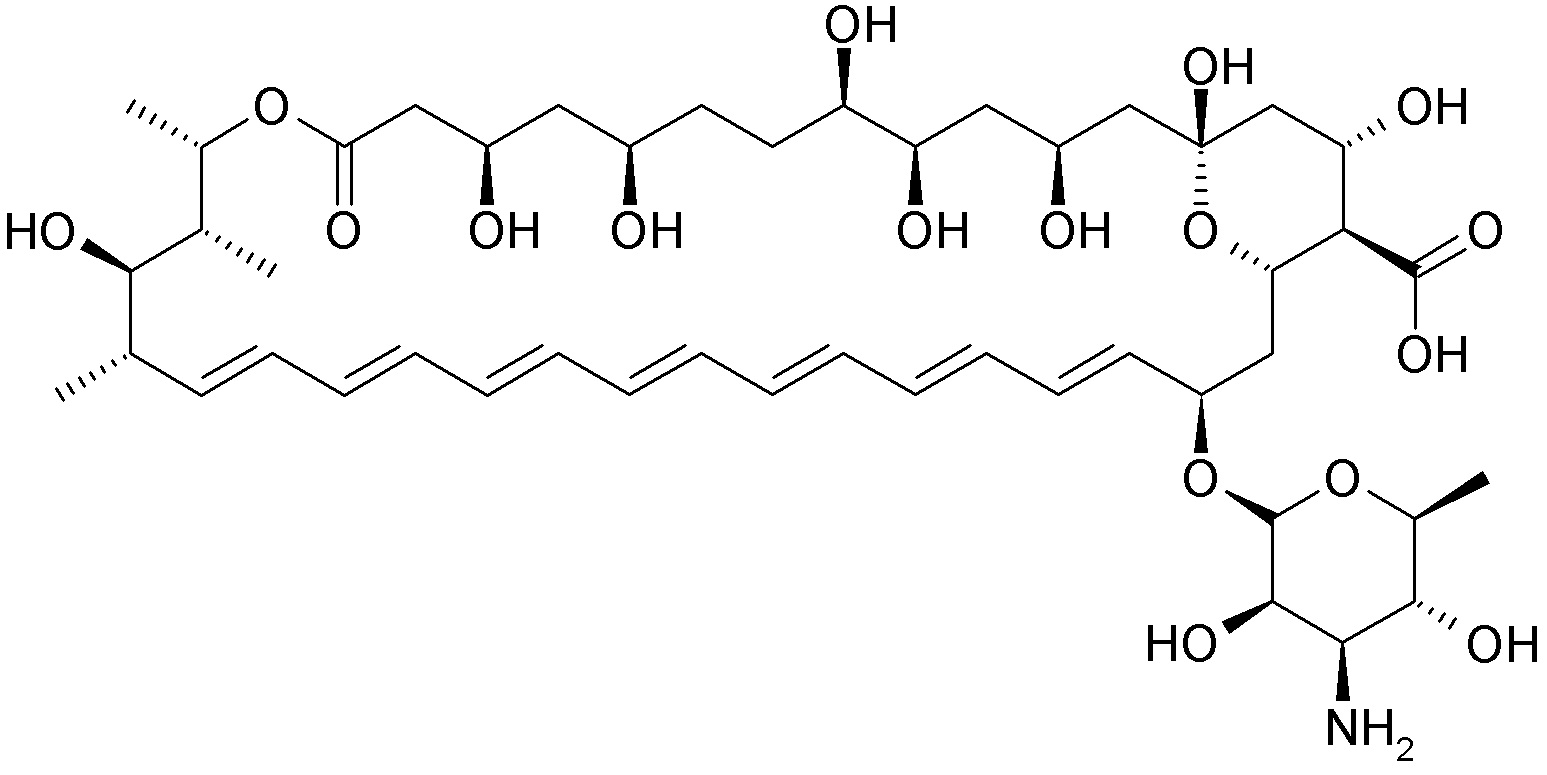
Thuốc chống nấm   Amphotericin B  
Khí dung
Dạng tiêm Dung dịch uống Thuốc nhỏ mắt Thuốc súc miệng
Tính ổn định của các chế phẩm Độ ổn định khi trộn lẫn Những yếu tố ảnh hưởng đến độ ổn định Khả năng tương thích Tài liệu tham khảo Pdf
   Cấu trúc hóa học  

Khí dung
Khả năng tương thích   Khí dung   Khả năng tương thích : Amphotericin B              
Không có dữ liệu

  Mentions Légales