Poslední aktualizace :
18/03/2026
Priešgrybelinis vaistas   Amphotericin B  
Aerozolis
Akių lašai Geriamas tirpalas Įpurškimas Skystis burnai skalauti
Stabilumas farmacinių preparatų Mišinių stabilumas Stabilumą lemiantys veiksniai Suderinamumas Bibliografija pdf
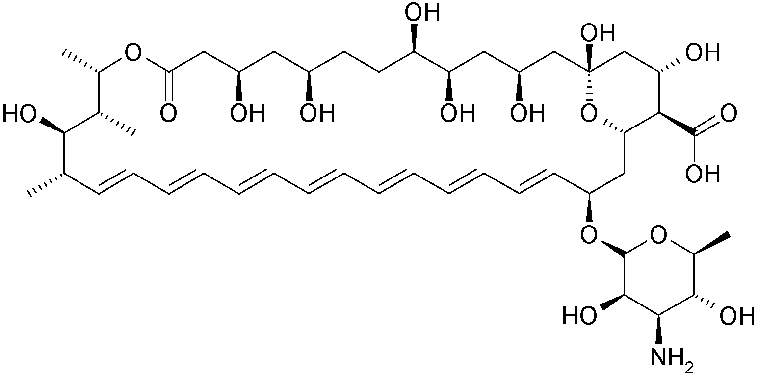
   Cheminė sandara  

Aerozolis
Suderinamumas   Aerozolis   Suderinamumas : Amphotericin B              
Nėra duomenų

  Mentions Légales