viimane versioon :
18/03/2026
Seenevastane ravim   Amphotericin B  
aerosool
Silmatilgad Süsteravim suukaudne lahus Suuloputus lahus
Stabiilsust ravimpreparaadid Stabiilsust mõjutavad tegurid stabiilsust mõjutavad faktorid Sobimatus Viited pdf
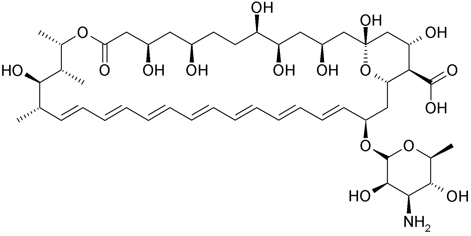
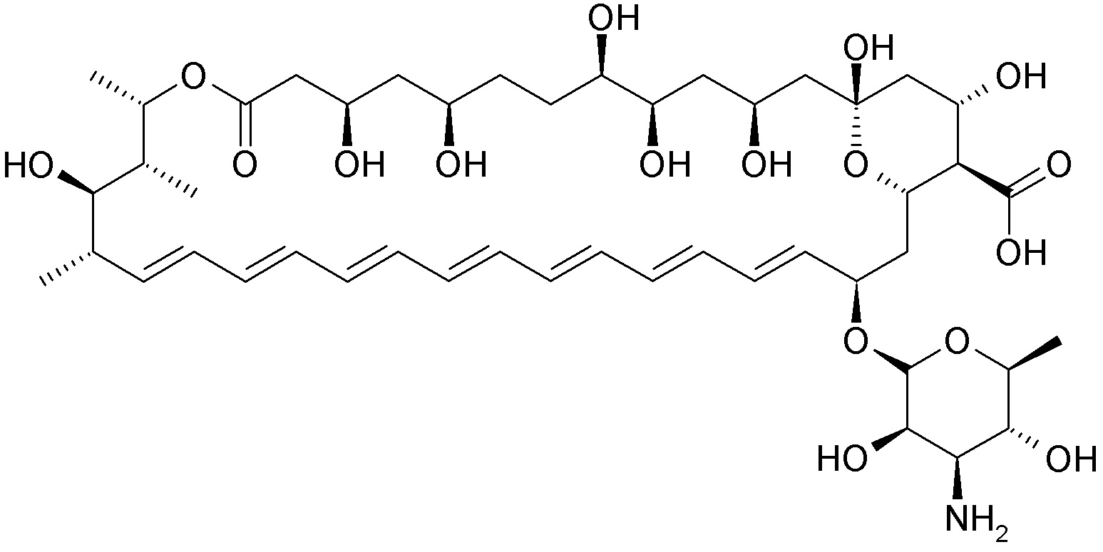
   keemiline struktuur  

aerosool
Sobimatus   aerosool   Sobimatus : Amphotericin B              
andmed puuduvad

  Mentions Légales