Poslední aktualizace :
18/03/2026
Protiplísňový přípravek   Amphotericin B  
Aerosol
Humbuk injekce kloktadlo Perorální roztok
Stabilita farmaceutických přípravků Stabilita směsí Faktory ovlivňující stabilitu Kompatibilita Odkazy pdf
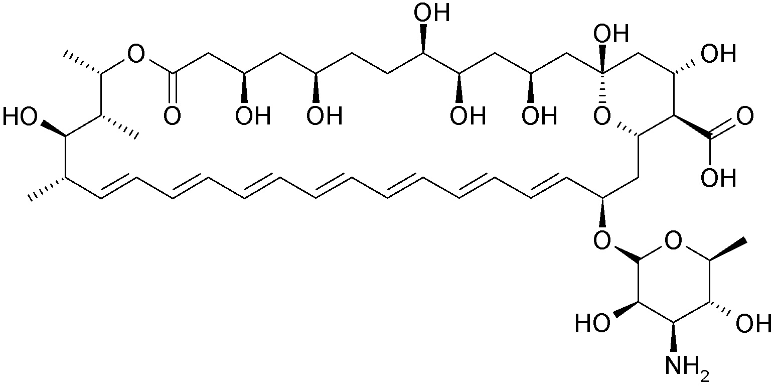
   Chemický vzorec  

Aerosol
Kompatibilita   Aerosol   Kompatibilita : Amphotericin B              
žádná data

  Mentions Légales