Última actualización :
18/03/2026
Antifúngico   Amphotericin B  
Aerosol
Enjuagues bucales Gotas oculares Inyectables Solución Oral
La estabilidad de las preparaciones farmacéuticas Estabilidad en mezcla Factores que influyen sobre la estabilidad Compatibilidades Bibliografía pdf
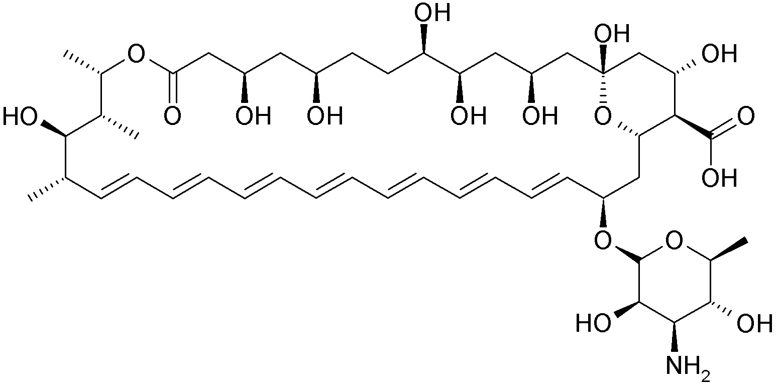
   Estructura química  

Aerosol
Compatibilidades   Aerosol   Compatibilidades : Amphotericin B              
Ausencia de datos

  Mentions Légales