Última actualização :
18/03/2026
Antifúngico   Amphotericin B  
aerossol
colutório injetável solução oftálmica Solução Oral
Estabilidade de preparações farmacêuticas Estabilidade em misturas Factores que afectam a sua estabilidade Compatibilidade Bibliografía pdf
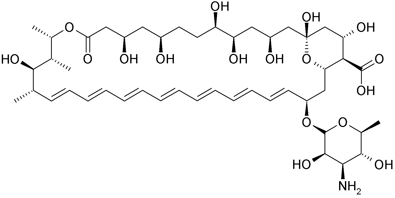
   estrutura química  

aerossol
Compatibilidade   aerossol   Compatibilidade : Amphotericin B              
Ausência de dados

  Mentions Légales