Letztes “update” :
18/03/2026
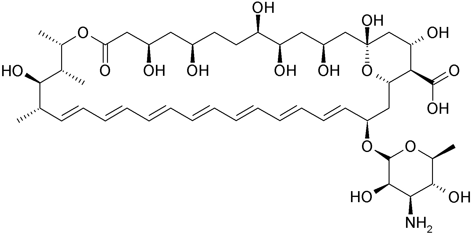
Antifungoid   Amphotericin B  
Aerosol
Augentropfen Injektion Lösung zum Einnehmen Mundspüllösung
Stabilität von pharmazeutischen Präparaten Gemengestabilität Stabilitätbeeinflussende Faktoren Kompatibilitäten Literaturverzeichnis pdf
   Chemische Struktur  

Aerosol
Kompatibilitäten   Aerosol   Kompatibilitäten : Amphotericin B              
Keine Daten

  Mentions Légales