Last update :
18/03/2026
Antifungal   Amphotericin B  
aerosol
Eye-drops injection Mouthwash Oral solution
Stability of pharmaceutical preparations Stability of mixtures Factors which affect stability Compatibility References pdf
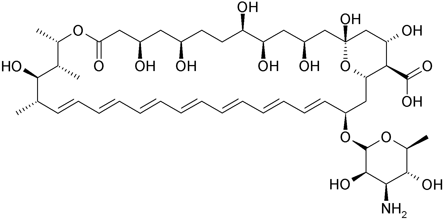
   Chemical structure  

aerosol
Compatibility   aerosol   Compatibility : Amphotericin B              
No data

  Mentions Légales