Son güncelleme :
18/03/2026
Antifungal   Amphotericin B  
Aerosol
Enjeksiyon Gargara Göz damlası Oral solüsyon / oral çözelti
Farmasötik preparatlar Kararlılığı Karışımlardaki stabilitesi Stabiliteyi etkileyen faktörler Uyumluluk Kaynaklar pdf
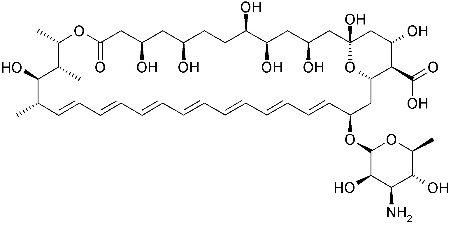
   Kimyasal yapı   

Aerosol
Uyumluluk   Aerosol   Uyumluluk : Amphotericin B              
veri yok

  Mentions Légales