Cập nhật lần cuối :
05/12/2025
Thuốc chống nấm   Amphotericin B  
Thuốc nhỏ mắt
Dạng tiêm Dung dịch uống Khí dung Thuốc súc miệng
Tính ổn định của các chế phẩm Độ ổn định khi trộn lẫn Những yếu tố ảnh hưởng đến độ ổn định Khả năng tương thích Tài liệu tham khảo Pdf
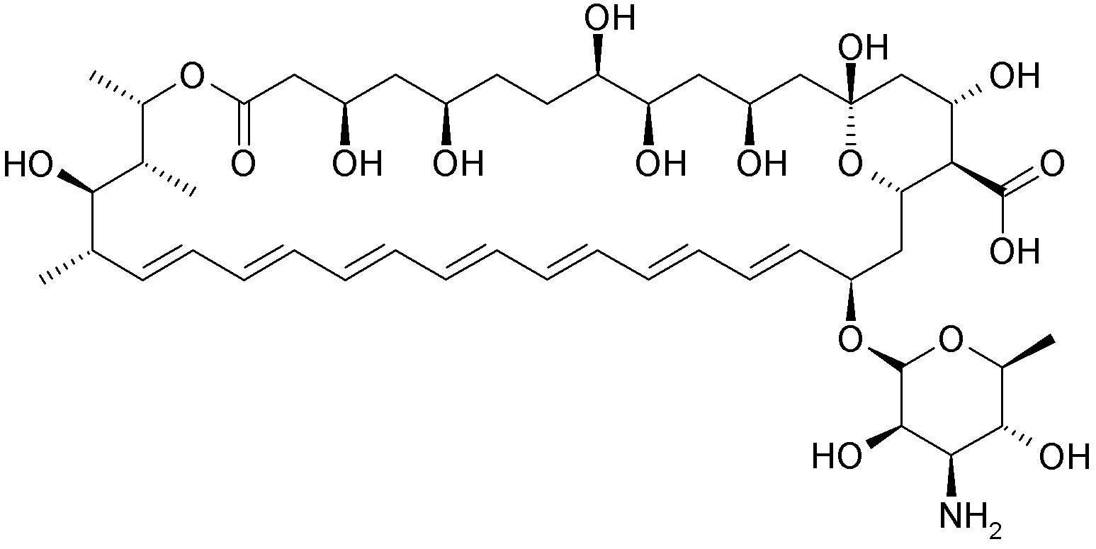
   Cấu trúc hóa học  

Thuốc nhỏ mắt
Khả năng tương thích   Thuốc nhỏ mắt   Khả năng tương thích : Amphotericin B              
Không có dữ liệu

  Mentions Légales