Poslední aktualizace :
18/03/2026
Priešgrybelinis vaistas   Amphotericin B  
Akių lašai
Aerozolis Geriamas tirpalas Įpurškimas Skystis burnai skalauti
Stabilumas farmacinių preparatų Mišinių stabilumas Stabilumą lemiantys veiksniai Suderinamumas Bibliografija pdf
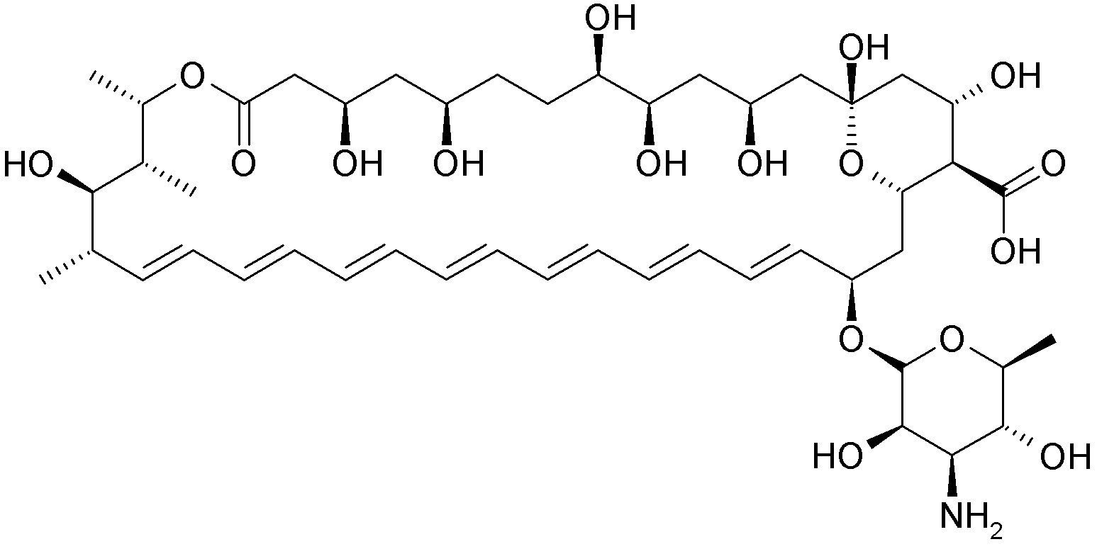
   Cheminė sandara  

Akių lašai
Suderinamumas   Akių lašai   Suderinamumas : Amphotericin B              
Nėra duomenų

  Mentions Légales