Última actualização :
05/12/2025
Antifúngico   Amphotericin B  
solução oftálmica
aerossol colutório injetável Solução Oral
Estabilidade de preparações farmacêuticas Estabilidade em misturas Factores que afectam a sua estabilidade Compatibilidade Bibliografía pdf
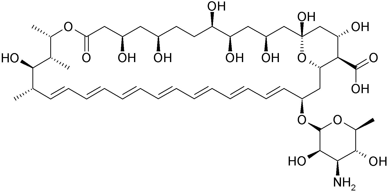
   estrutura química  

solução oftálmica
Compatibilidade   solução oftálmica   Compatibilidade : Amphotericin B              
Ausência de dados

  Mentions Légales