Última actualización :
05/12/2025
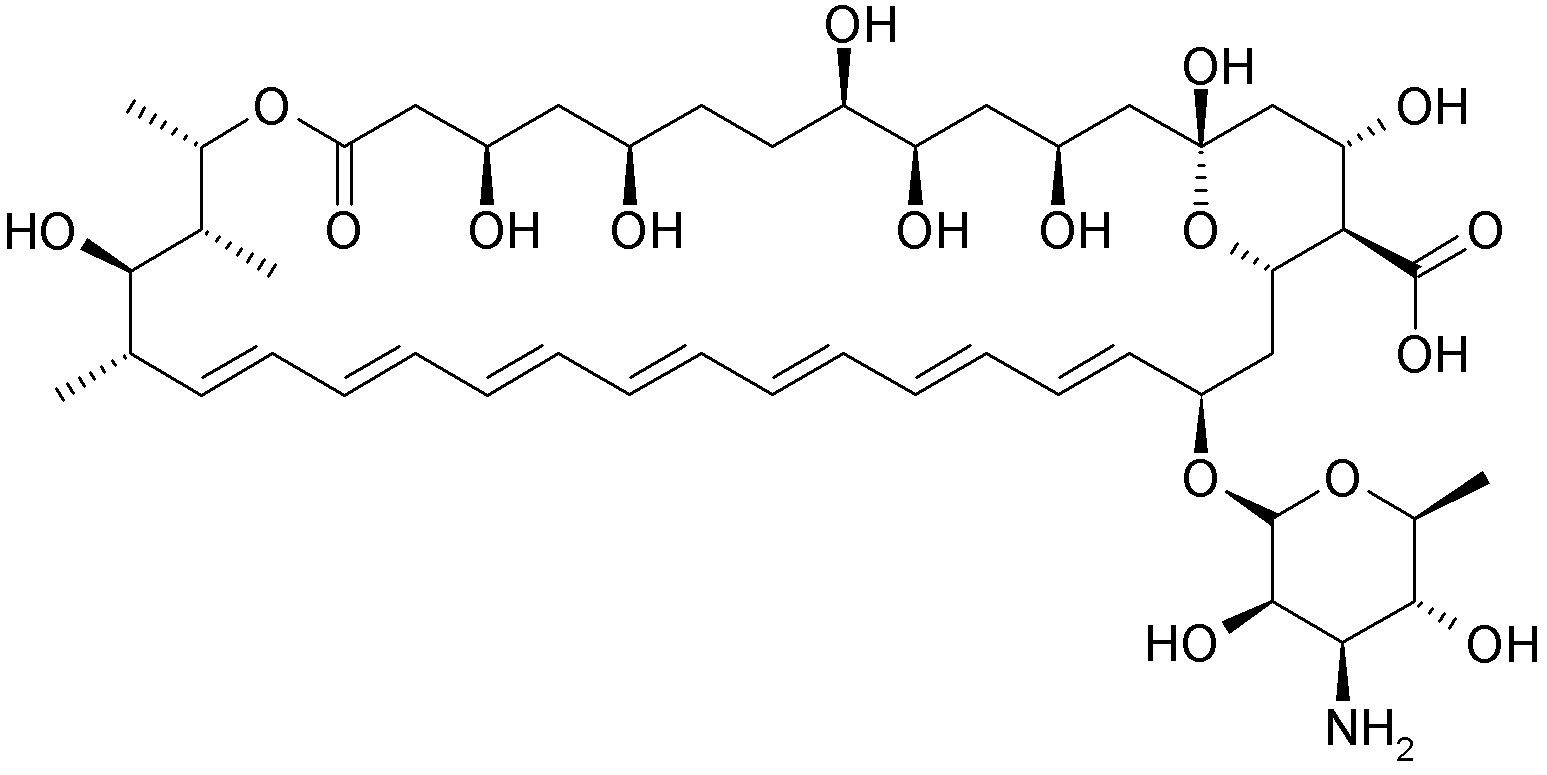
Antifúngico   Amphotericin B  
Gotas oculares
Aerosol Enjuagues bucales Inyectables Solución Oral
La estabilidad de las preparaciones farmacéuticas Estabilidad en mezcla Factores que influyen sobre la estabilidad Compatibilidades Bibliografía pdf
   Estructura química  

Gotas oculares
Compatibilidades   Gotas oculares   Compatibilidades : Amphotericin B              
Ausencia de datos

  Mentions Légales