Последно актуализиране :
05/12/2025
Противогъбично средство   Amphotericin B  
Капки за очи
Аерозол Инжекция/Инжекционен Орален разтвор Разтвор за уста
Стабилност на лекарствени препарати Стабилност на смеси Фактори, повлияващи стабилността Съвместимост Библиография Pdf
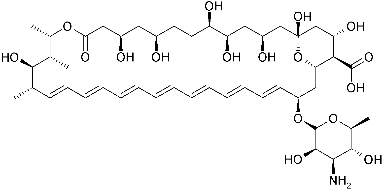
   Химична структура  

Капки за очи
Съвместимост   Капки за очи   Съвместимост : Amphotericin B              
Няма данни

  Mentions Légales