Ultimo aggiornamento :
18/03/2026
Antimicotico   Amphotericin B  
Collirio
Aerosol Collutorio Iniezione Soluzione orale
Stabilità dei preparati farmaceutici Stabilità in miscela Fattori che influenzano la stabilità Compatibilità Bibliografia pdf
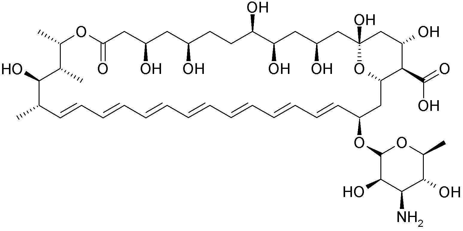
   Struttura chimica  

Collirio
Compatibilità   Collirio   Compatibilità : Amphotericin B              
Assenza di dati

  Mentions Légales