Ostatnia aktualizacja :
05/12/2025
Lek przeciwgrzybiczny   Amphotericin B  
Krople oczne
Aerozol Injekcje Roztwór do płukania gardła Roztwór doustny
Stabilność preparatów farmaceutycznych Trwałość w mieszaninie Czynnik wpływający na trwałość Zgodność Bibliografia pdf
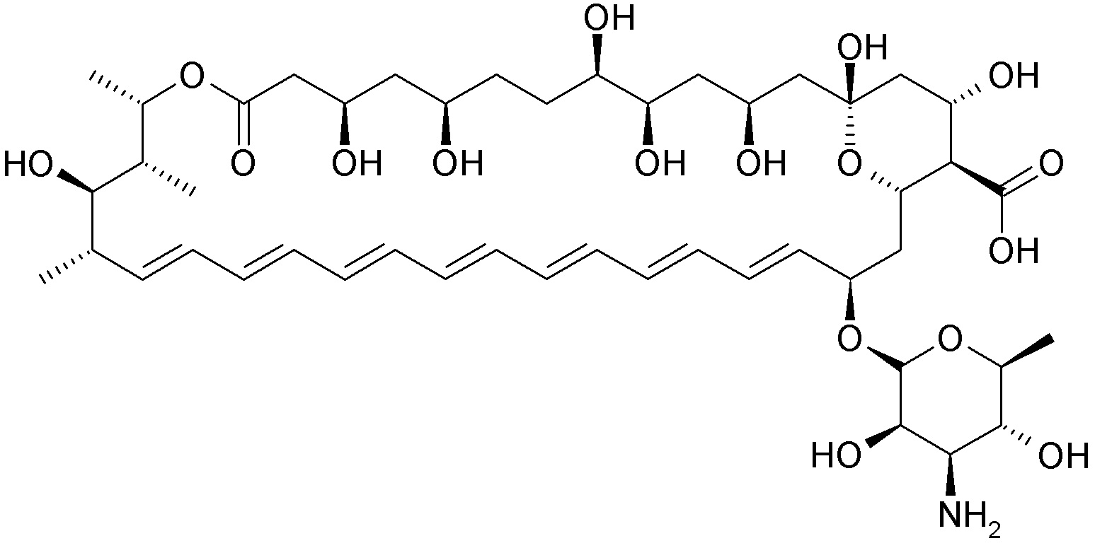
   Struktura chemiczna  

Krople oczne
Zgodność   Krople oczne   Zgodność : Amphotericin B              
Brak danych

  Mentions Légales