最新更新 :
18/03/2026
抗真菌薬   Amphotericin B  
点眼薬
エアロゾル 含嗽薬 注射薬 経口液
調剤時の安定性 混合時の安定性 安定性に影響する因子 互換性 引用文献 PDF
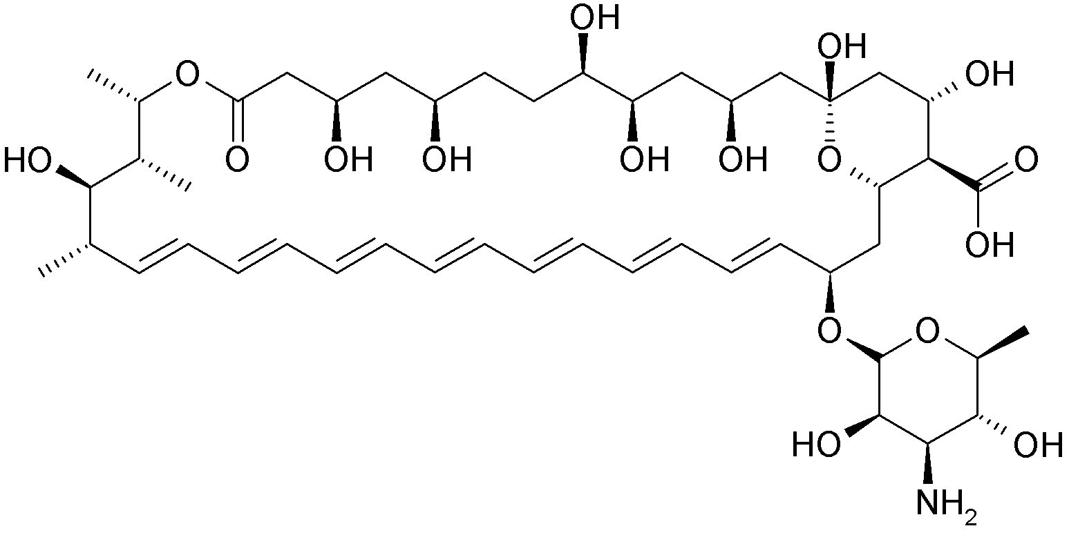
   化学構造  

点眼薬
互換性   点眼薬   互換性 : Amphotericin B              
データなし

  Mentions Légales