آخر تحديث :
18/03/2026
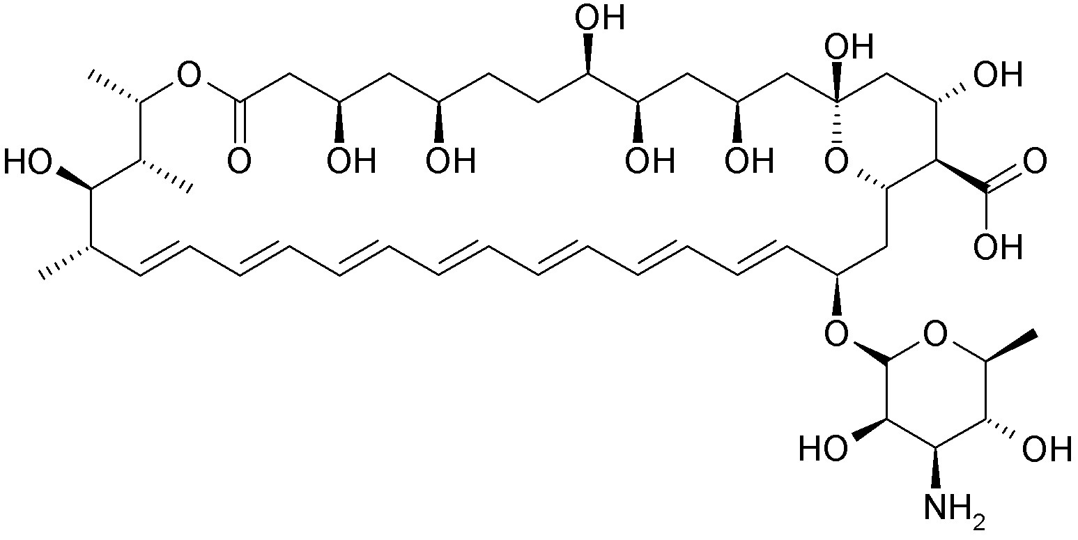
مضاد للفطريات   Amphotericin B  
قطرات العين
الأيروصولات حقن عن طريق الفم  غسول الفم
استقرار المستحضرات الصيدلانية استقرار مخاليط العوامل التي تؤثر على الاستقرار التوافق مراجع pdf
   التركيب الكيميائي  

قطرات العين
التوافق   قطرات العين   التوافق : Amphotericin B              
لا توجد بيانات

  Mentions Légales