Senaste uppdateringen :
18/03/2026
Protonpumpshämmare   Omeprazole sodium  
Oral lösning
injektion
Stabilitet av läkemedel Stabilitet i blandningar Faktorer som påverkar stabiliteten Kompatibilitet Hänvisningar pdf
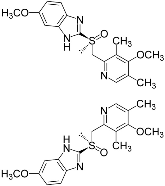
   Molekylstruktur  

Oral lösning
Stabilitet i blandningar   Oral lösning   Stabilitet i blandningar : Omeprazole sodium     
Ingen uppgift

  Mentions Légales