Zadnji put ažurirano :
18/03/2026
Inhibitori protonske pumpe   Omeprazole sodium  
oralna otopina
injekcija
Stabilnost farmaceutskih pripravaka Stabilnost mješavine Stabilizacijski faktor Kompatibilnosti Bibliografija pdf
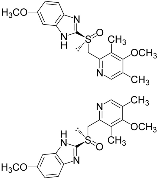
   Kemijska struktura  

oralna otopina
Stabilnost mješavine   oralna otopina     Stabilnost mješavine : Omeprazole sodium     
bez podataka

  Mentions Légales