Utolsó frissítés :
18/03/2026
Proton-pumpa gátló   Omeprazole sodium  
belsőleges oldat
Injekció
Stabilitása gyógyszerészeti készítmények A keverékek stabilitása Stabilitást befolyásoló tényezők Kompatibilitás Irodalom pdf
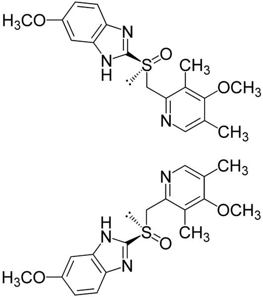
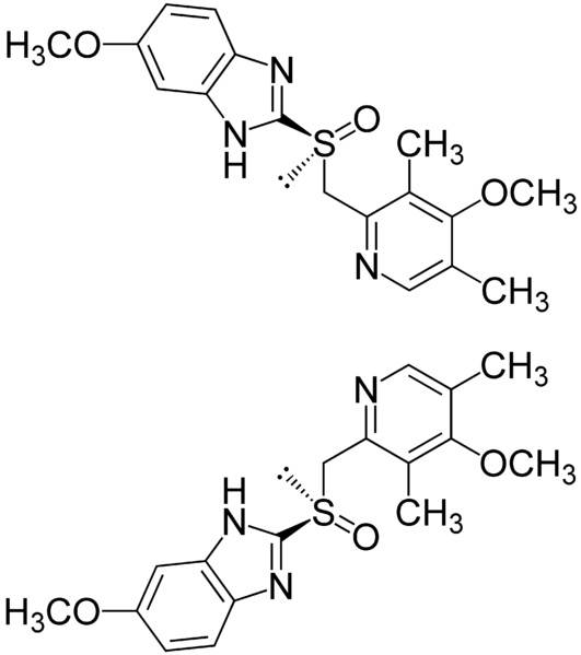
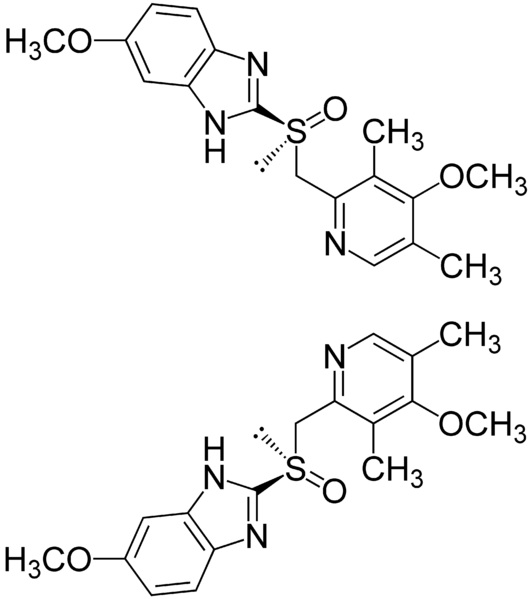
   Kémiai szerkezet   

belsőleges oldat
A keverékek stabilitása   belsőleges oldat   A keverékek stabilitása : Omeprazole sodium     
Hiányzó adat

  Mentions Légales