Siste oppdatering :
18/03/2026
Protonpumpehemmer   Omeprazole sodium  
Mikstur
Injeksjon
Stabilitet av farmasøytiske preparater Stabilitet i blandinger Faktorer som påvirker stabiliteten Kompatibilitet Referanser pdf
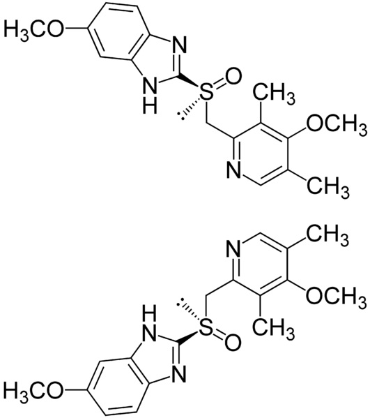
   Kjemisk struktur  

Mikstur
Stabilitet i blandinger   Mikstur   Stabilitet i blandinger : Omeprazole sodium     
Ingen opplysninger

  Mentions Légales