Последнее обновление :
18/03/2026
Ингибитор протонового насоса   Omeprazole sodium  
Раствор для перорального приёма
Инъекция
Стабильность фармацевтических препаратов Стабильность смесей Факторы, которые влияют на стабильность Совместимость Библиография pdf
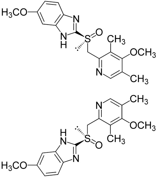
   Химическая структура  

Раствор для перорального приёма
Стабильность смесей   Раствор для перорального приёма   Стабильность смесей : Omeprazole sodium     
данных нет

  Mentions Légales