最新更新 :
17/12/2025
プロトンポンプ阻害薬   Omeprazole sodium  
経口液
注射薬
調剤時の安定性 混合時の安定性 安定性に影響する因子 互換性 引用文献 PDF
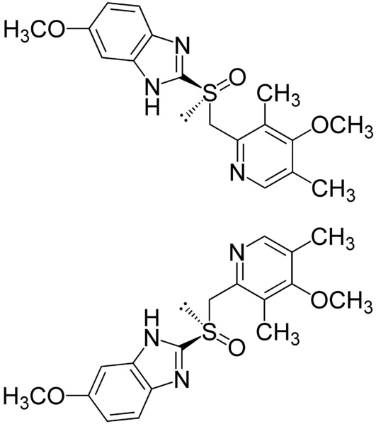
   化学構造  

経口液
混合時の安定性   経口液   混合時の安定性 : Omeprazole sodium     
データなし

  Mentions Légales