Last update :
18/03/2026
Proton pump inhibitor   Omeprazole sodium  
Oral solution
injection
Stability of pharmaceutical preparations Stability of mixtures Factors which affect stability Compatibility References pdf
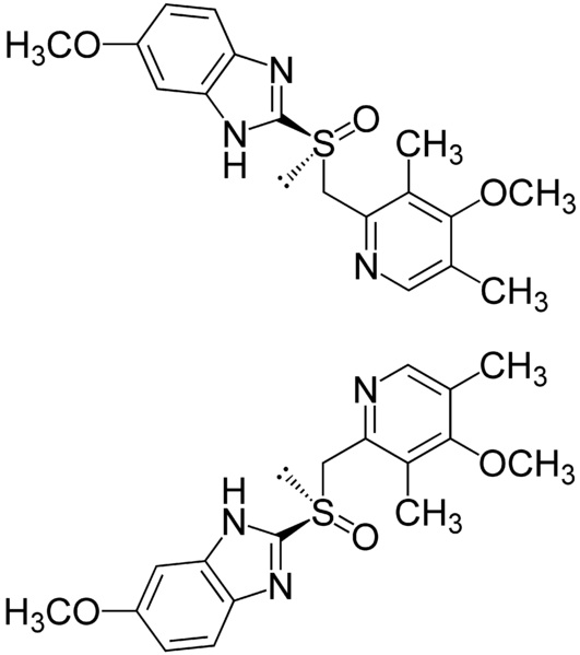
   Chemical structure  

Oral solution
Stability of mixtures   Oral solution   Stability of mixtures : Omeprazole sodium     
No data

  Mentions Légales