Dernière mise à jour :
18/03/2026
Inhibiteur de la pompe à proton   Omeprazole sodium  
Solution buvable
injectable
Stabilité des préparations Stabilité en mélange Facteur influençant la stabilité Compatibilités Bibliographie pdf
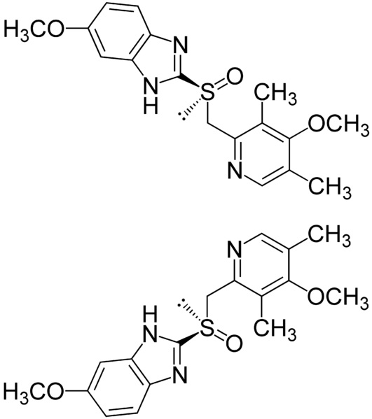
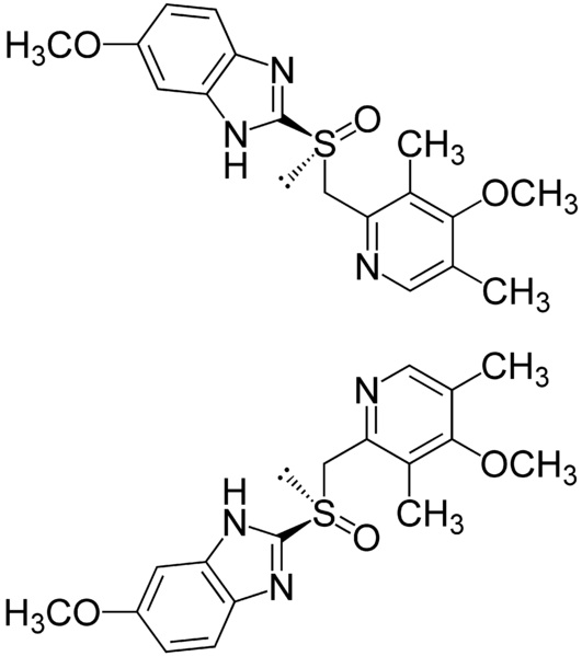
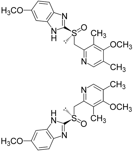
   Structure chimique  

Solution buvable
Stabilité en mélange   Solution buvable   Stabilité en mélange : Omeprazole sodium     
Aucune donnée

  Mentions Légales