|
|
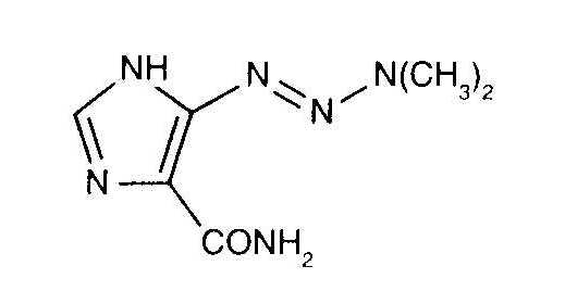
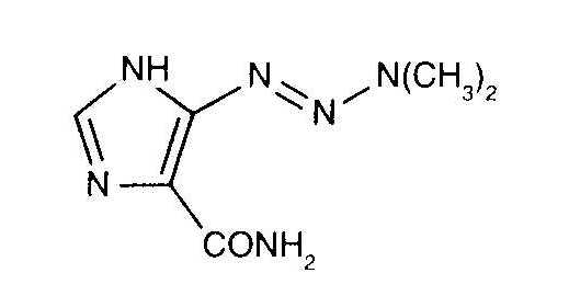
Varunamn |
|
|
Angivna handelsnamn på läkemedel är enbart vägledande då formulering inklusive hjälpämnen kan variera mellan länder och tillverkare
|
|
Acocarb |
Mexiko |
|
Celdaz |
Indien, Peru |
|
Dabaz |
Brasilien, Indien |
|
Dacarba |
Indien |
|
Dacarbazin |
Malaysia, Österrike, Polen, Ungern |
|
Dacarbazina |
Argentina, Brasilien, Chile, Colombia, Ecuador, Italien, Mexiko, Peru, Spanien |
|
Dacarbazine |
Australien, Belgien, Danmark, Förenta Staterna, Indien, Iran, Irland, Kanada, nya Zeeland, Storbritannien, Sverige |
|
Dacarex |
Indien |
|
Dacarin |
Indien |
|
Dacarpalm |
Peru |
|
Dacarzine |
Indien |
|
Dacin |
Schweiz, Slovenien |
|
Dacmed |
Indien |
|
Daracina |
Colombia |
|
Deticene |
Frankrike, Grekland, Nederländerna, Portugal, Saudi-Arabien |
|
Detimedac |
Colombia, Rumänien, Tunisien, Tyskland |
|
DTIC |
Förenta Staterna, nya Zeeland, Österrike |
|
Fauldetic |
Portugal |
|
Oncocarbil |
Argentina, Ecuador, Peru |
|
Tiferomed |
Mexiko |
|
|