Последнее обновление :
18/03/2026
Цитостатическое средство   Dacarbazine  
Инъекция
Стабильность растворов Стабильность смесей Факторы, которые влияют на стабильность Совместимость Способы введения Библиография pdf
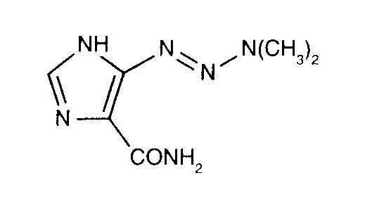
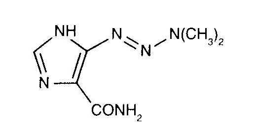
   Химическая структура  

Товарное название   Товарное название     

Trade names are indicative and excipients composition can be different depending on the country and manufacturers

Acocarb Мексика
Celdaz Индия, Перу
Dabaz Бразилия, Индия
Dacarba Индия
Dacarbazin Австрия, Венгрия, Малайзия, Польша
Dacarbazina Аргентина, Бразилия, Испания, Италия, Колумбия, Мексика, Перу, чили, Эквадор
Dacarbazine Австралия, Бельгия, Великобритания, Дания, Индия, Иран, Ирландия, Канада, новая Зеландия, Соединённые Штаты Америки, Швеция
Dacarex Индия
Dacarin Индия
Dacarpalm Перу
Dacarzine Индия
Dacin Словения, Швейцария
Dacmed Индия
Daracina Колумбия
Deticene Голландия, Греция, Португалия, Саудовская Аравия, Франция
Detimedac Германия, Колумбия, Румыния, Тунис
DTIC Австрия, новая Зеландия, Соединённые Штаты Америки
Fauldetic Португалия
Oncocarbil Аргентина, Перу, Эквадор
Tiferomed Мексика
Стабильность смесей   Инъекция   Стабильность смесей : Dacarbazine     
Упаковка Растворитель Концентрация Молекула Температура Хранение Продолжительность стабильности Ссылки
Стекло Натрия хлорид 0,9% 0,85 mg/ml
Инъекция   Dacarbazine   
Инъекция   Granisetron hydrochloride 0,5 mg/ml
20°C-23°C
4 Час
Защищён от света 57
Уровень доказательности A +
Стекло Глюкоза 5% 0,05 mg/ml
Инъекция   Dacarbazine   
Инъекция   Palonosetron hydrochloride 25 µg/ml
25°C
4 Час
Свет 2107
Уровень доказательности A +
Поливинилхлорид Глюкоза 5% 8 mg/ml
Инъекция   Dacarbazine   
Инъекция   Ondansetron hydrochloride 0,64 mg/ml
Инъекция   Doxorubicin hydrochloride 0,8 mg/ml
30°C
24 Час
Не указано 26
Уровень доказательности D
Поливинилхлорид Глюкоза 5% 8 mg/ml
Инъекция   Dacarbazine   
Инъекция   Ondansetron hydrochloride 0,64 mg/ml
Инъекция   Doxorubicin hydrochloride 0,8 mg/ml
4°C
7 День
Защищён от света 26
Уровень доказательности D

  Mentions Légales