Poslední aktualizace :
18/03/2026
rakovina drog   Dacarbazine  
injekce
Stabilita roztoků Stabilita směsí Faktory ovlivňující stabilitu Kompatibilita Způsoby aplikace Odkazy pdf
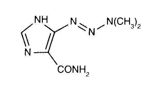
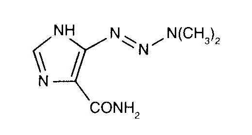
   Chemický vzorec  

Obchodní název   Obchodní název     

Trade names are indicative and excipients composition can be different depending on the country and manufacturers

Acocarb Mexiko
Celdaz Indie, Peru
Dabaz BrazÌlie, Indie
Dacarba Indie
Dacarbazin Malajsie, MaÔarsko, Polsko, Rakousko
Dacarbazina äpanÏlsko, Argentina, BrazÌlie, Chile, Ekvádor, Itálie, Kolumbie, Mexiko, Peru
Dacarbazine Austrálie, Belgie, Dánsko, Indie, Írán, Irsko, Kanada, nový Zéland, Švédsko, USA, Velká Británie
Dacarex Indie
Dacarin Indie
Dacarpalm Peru
Dacarzine Indie
Dacin Slovinsko, Švýcarsko
Dacmed Indie
Daracina Kolumbie
Deticene Francie, Nizozemsko, Portugalsko, Saúdská Arábie, ÿecko
Detimedac Kolumbie, NÏmecko, Rumunsko, Tunisko
DTIC nový Zéland, Rakousko, USA
Fauldetic Portugalsko
Oncocarbil Argentina, Ekvádor, Peru
Tiferomed Mexiko
Stabilita směsí   injekce   Stabilita směsí : Dacarbazine     
Obal RozpouötÏdlo Koncentrace SlouËenina Teplota Uchovávání Trvání stability Odkazy
Sklo Chlorid sodný 0,9% 0,85 mg/ml
injekce   Dacarbazine   
injekce   Granisetron hydrochloride 0,5 mg/ml
20°C-23°C
4 Hodina
Chráněno před světlem 57
Úroveň zkoušky A+
Sklo GlukÛza 5% 0,05 mg/ml
injekce   Dacarbazine   
injekce   Palonosetron hydrochloride 25 µg/ml
25°C
4 Hodina
SvÏtlo 2107
Úroveň zkoušky A+
Polyvinyl chlorid GlukÛza 5% 8 mg/ml
injekce   Dacarbazine   
injekce   Ondansetron hydrochloride 0,64 mg/ml
injekce   Doxorubicin hydrochloride 0,8 mg/ml
30°C
24 Hodina
Nespecifikováno 26
Úroveň zkoušky D
Polyvinyl chlorid GlukÛza 5% 8 mg/ml
injekce   Dacarbazine   
injekce   Ondansetron hydrochloride 0,64 mg/ml
injekce   Doxorubicin hydrochloride 0,8 mg/ml
4°C
7 Den
Chráněno před světlem 26
Úroveň zkoušky D

  Mentions Légales