Letztes “update” :
18/03/2026
Antikrebsmittel   Dacarbazine  
Injektion
Stabilität der Lösung Gemengestabilität Stabilitätbeeinflussende Faktoren Kompatibilitäten Applikationsart Literaturverzeichnis pdf
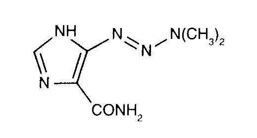
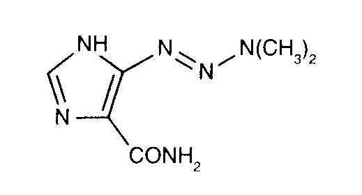
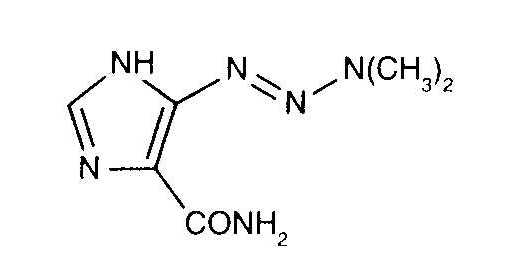
   Chemische Struktur  

Handelsmarke   Handelsmarke     

Handelsnamen sind als beispielhaft anzusehen. Sonstige Bestandteile können je nach Hersteller oder Land verschieden sein

Acocarb Mexiko
Celdaz Indien, Peru
Dabaz Brasilien, Indien
Dacarba Indien
Dacarbazin Malaysia, Österreich, Polen, Ungarn
Dacarbazina Argentinien, Brasilien, Chile, Ecuador, Italien, Kolumbien, Mexiko, Peru, Spanien
Dacarbazine Australien, Belgien, Dänemark, Großbritannien, Indien, Iran, Irland, Kanada, Neuseeland, Schweden, Vereinigte Staaten von Amerika
Dacarex Indien
Dacarin Indien
Dacarpalm Peru
Dacarzine Indien
Dacin Schweiz, Slowenien
Dacmed Indien
Daracina Kolumbien
Deticene Frankreich, Griechenland, Niederlande, Portugal, Saudi-Arabien
Detimedac Deutschland, Kolumbien, Rumänien, Tunesien
DTIC Neuseeland, Österreich, Vereinigte Staaten von Amerika
Fauldetic Portugal
Oncocarbil Argentinien, Ecuador, Peru
Tiferomed Mexiko
Gemengestabilität   Injektion   Gemengestabilität : Dacarbazine     
Behälter Lösungsmittel Konzentration Molekül Temperatur Konservierung Dauer der Stabilität Literaturverzeichnis
Glas 0,9% Natriumchlorid 0,85 mg/ml
Injektion   Dacarbazine   
Injektion   Granisetron hydrochloride 0,5 mg/ml
20°C-23°C
4 Stunde
Ohne Licht 57
Evidenzgrad A+
Glas 5% Glucose 0,05 mg/ml
Injektion   Dacarbazine   
Injektion   Palonosetron hydrochloride 25 µg/ml
25°C
4 Stunde
Licht 2107
Evidenzgrad A+
Polyvinylchlorid 5% Glucose 8 mg/ml
Injektion   Dacarbazine   
Injektion   Ondansetron hydrochloride 0,64 mg/ml
Injektion   Doxorubicin hydrochloride 0,8 mg/ml
30°C
24 Stunde
Nicht genau angegeben 26
Evidenzgrad D
Polyvinylchlorid 5% Glucose 8 mg/ml
Injektion   Dacarbazine   
Injektion   Ondansetron hydrochloride 0,64 mg/ml
Injektion   Doxorubicin hydrochloride 0,8 mg/ml
4°C
7 Tag
Ohne Licht 26
Evidenzgrad D

  Mentions Légales