Viimeisin päivitys :
18/03/2026
syöpälääke   Dacarbazine  
Injektioneste
Stabilius liuoksessa Stabilius seoksissa Tekijät, jotka vaikuttavat stabiliuteen Yhteensopivuus Antotapa Viitteet pdf
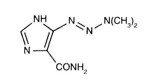
   Kemiallinen rakenne  

Kauppanimi   Kauppanimi     

Trade names are indicative and excipients composition can be different depending on the country and manufacturers

Acocarb Meksiko
Celdaz Intia, Marokko
Dabaz Brasilia, Intia
Dacarba Intia
Dacarbazin Itävalta, Malesia, Puola, Unkari
Dacarbazina Argentiina, Brasilia, Chile, Ecuador, Espanja, Italia, Kolumbia, Marokko, Meksiko
Dacarbazine Australia, Belgia, Intia, Iran, Irlanti, Iso-Britannia, Kanada, New Zealand, Ruotsi, Tanska, Yhdysvallat
Dacarex Intia
Dacarin Intia
Dacarpalm Marokko
Dacarzine Intia
Dacin Slovenia, Sveitsi
Dacmed Intia
Daracina Kolumbia
Deticene Hollanti, Kreikka, Portugali, Ranska, Saudi-Arabia
Detimedac Kolumbia, Romania, Saksa, Tunisia
DTIC Itävalta, New Zealand, Yhdysvallat
Fauldetic Portugali
Oncocarbil Argentiina, Ecuador, Marokko
Tiferomed Meksiko
Stabilius seoksissa   Injektioneste   Stabilius seoksissa : Dacarbazine     
Astia Liuotin Konsentraatio Yhdiste Lämpötila Säilytys Vakauden kesto Viitteet
Lasi Natriumkloridi 0,9% 0,85 mg/ml
Injektioneste   Dacarbazine   
Injektioneste   Granisetron hydrochloride 0,5 mg/ml
20°C-23°C
4 tunti
Suojattava valolta 57
Näytön laajuus A+
Lasi Glukoosi 5% 0,05 mg/ml
Injektioneste   Dacarbazine   
Injektioneste   Palonosetron hydrochloride 25 µg/ml
25°C
4 tunti
Valo 2107
Näytön laajuus A+
Polyvinyylikloridi Glukoosi 5% 8 mg/ml
Injektioneste   Dacarbazine   
Injektioneste   Ondansetron hydrochloride 0,64 mg/ml
Injektioneste   Doxorubicin hydrochloride 0,8 mg/ml
30°C
24 tunti
Ei määritetty 26
Näytön laajuus D
Polyvinyylikloridi Glukoosi 5% 8 mg/ml
Injektioneste   Dacarbazine   
Injektioneste   Ondansetron hydrochloride 0,64 mg/ml
Injektioneste   Doxorubicin hydrochloride 0,8 mg/ml
4°C
7 Päivä
Suojattava valolta 26
Näytön laajuus D

  Mentions Légales