Laatste update :
27/11/2025
geneesmiddel tegen kanker   Dacarbazine  
injecteerbaar geneesmiddel
Stabiliteit in oplossing Stabiliteit in mengsels Factoren die de stabiliteit beïnvloeden Verenigbaarheden Toedieningswijze Literatuur pdf
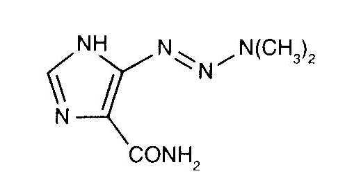
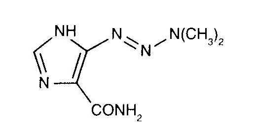
   Molecuulstructuur  

Merknamen in verschillende landen   Merknamen in verschillende landen     

Handelsnamen zijn slechts een indicatie; de samenstelling van hulpstoffen kan per land variëren afhankelijk van de fabrikant

Acocarb Mexico
Celdaz Indië, Peru
Dabaz Brazilië, Indië
Dacarba Indië
Dacarbazin Hongarije, Maleisië, Oostenrijk, Polen
Dacarbazina Argentinië, Brazilië, Chili, Colombia, Ecuador, Italië, Mexico, Peru, Spanje
Dacarbazine Australië, België, Canada, Denemarken, Groot Britannië, Ierland, Indië, Iran, nieuw Zeeland, USA, Zweden
Dacarex Indië
Dacarin Indië
Dacarpalm Peru
Dacarzine Indië
Dacin Slovenië, Zwitserland
Dacmed Indië
Daracina Colombia
Deticene Frankrijk, Griekenland, Nederland, Portugal, Saudi-Arabië
Detimedac Colombia, Duitsland, Roemenië, Tunisie
DTIC nieuw Zeeland, Oostenrijk, USA
Fauldetic Portugal
Oncocarbil Argentinië, Ecuador, Peru
Tiferomed Mexico
Stabiliteit in mengsels   injecteerbaar geneesmiddel   Stabiliteit in mengsels : Dacarbazine     
Verpakking Oplosmiddel Concentratie Stof Temperatuur Bewaring Duur van de stabiliteit Literatuur
Glas Natriumchloride 0,9% 0,85 mg/ml
injecteerbaar geneesmiddel   Dacarbazine   
injecteerbaar geneesmiddel   Granisetron hydrochloride 0,5 mg/ml
20°C-23°C
4 Uur
Buiten invloed van licht 57
Bewijsniveau A+
Glas Glucose 5% 0,05 mg/ml
injecteerbaar geneesmiddel   Dacarbazine   
injecteerbaar geneesmiddel   Palonosetron hydrochloride 25 µg/ml
25°C
4 Uur
Licht 2107
Bewijsniveau A+
Polyvinylchloride (PVC) Glucose 5% 8 mg/ml
injecteerbaar geneesmiddel   Dacarbazine   
injecteerbaar geneesmiddel   Ondansetron hydrochloride 0,64 mg/ml
injecteerbaar geneesmiddel   Doxorubicin hydrochloride 0,8 mg/ml
30°C
24 Uur
Niet gespecificeerd 26
Bewijsniveau D
Polyvinylchloride (PVC) Glucose 5% 8 mg/ml
injecteerbaar geneesmiddel   Dacarbazine   
injecteerbaar geneesmiddel   Ondansetron hydrochloride 0,64 mg/ml
injecteerbaar geneesmiddel   Doxorubicin hydrochloride 0,8 mg/ml
4°C
7 Dag
Buiten invloed van licht 26
Bewijsniveau D

  Mentions Légales