Last update :
18/03/2026
Anticancer drug   Dacarbazine  
injection
Stability in solutions Stability of mixtures Factors which affect stability Compatibility Route of administration References pdf
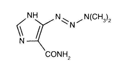
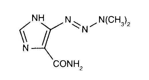
   Chemical structure  

Tradename   Tradename     

Trade names are indicative and excipients composition can be different depending on the country and manufacturers

Acocarb Mexico
Celdaz India, Peru
Dabaz Brazil, India
Dacarba India
Dacarbazin Austria, Hungary, Malaysia, Poland
Dacarbazina Argentina, Brazil, Chile, Colombia, Ecuador, Italy, Mexico, Peru, Spain
Dacarbazine Australia, Belgium, Canada, Denmark, Great Britain, India, Iran, Ireland, New Zealand, Sweden, United States of America
Dacarex India
Dacarin India
Dacarpalm Peru
Dacarzine India
Dacin Slovenia, Switzerland
Dacmed India
Daracina Colombia
Deticene France, Greece, Netherlands, Portugal, Saudi Arabia
Detimedac Colombia, Germany, Romania, Tunisia
DTIC Austria, New Zealand, United States of America
Fauldetic Portugal
Oncocarbil Argentina, Ecuador, Peru
Tiferomed Mexico
Stability of mixtures   injection   Stability of mixtures : Dacarbazine     
Container Solvent Concentration Compound Temperature Storage Duration of stability References
Glass Sodium chloride 0,9% 0,85 mg/ml
injection   Dacarbazine   
injection   Granisetron hydrochloride 0,5 mg/ml
20°C-23°C
4 Hour
Protect from light 57
Level of evidence A+
Glass Glucose 5% 0,05 mg/ml
injection   Dacarbazine   
injection   Palonosetron hydrochloride 25 µg/ml
25°C
4 Hour
Light 2107
Level of evidence A+
Polyvinyl chloride Glucose 5% 8 mg/ml
injection   Dacarbazine   
injection   Ondansetron hydrochloride 0,64 mg/ml
injection   Doxorubicin hydrochloride 0,8 mg/ml
30°C
24 Hour
Not specified 26
Level of evidence D
Polyvinyl chloride Glucose 5% 8 mg/ml
injection   Dacarbazine   
injection   Ondansetron hydrochloride 0,64 mg/ml
injection   Doxorubicin hydrochloride 0,8 mg/ml
4°C
7 Day
Protect from light 26
Level of evidence D

  Mentions Légales