Pēdējā atjaunošana :
18/03/2026
vēzis narkotiku   Dacarbazine  
Injekcija
Šķīduma stabilitāte Maisījuma stabilitāte Stabilitāti ietekmējoši faktori Saderība Levadīšanas veids Literatūras saraksts pdf
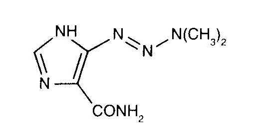
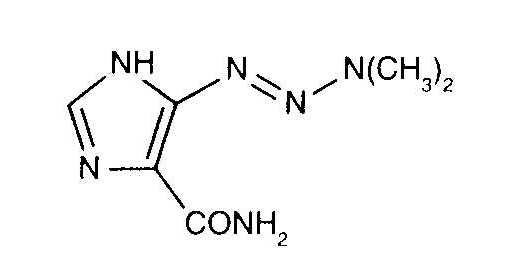
   Ķīmiskā uzbūve   

Oriģinālais nosaukums   Oriģinālais nosaukums     

Tirdzniecības nosaukumi ir apzīmējoši un palīgvielas var atšķirties dažādām valstīm un laboratorijām

Acocarb Meksika
Celdaz Indija, Peru
Dabaz Brazīlija, Indija
Dacarba Indija
Dacarbazin Austrija, Malaizija, Polija, Ungārija
Dacarbazina Argentīna, Brazīlija, Čīle, Ekvadora, Itālija, Kolumbija, Meksika, Peru, Spānija
Dacarbazine Amerikas Savienotās Valstis, Austrālija, Beļģija, Dānija, Indija, Irāna, Īrija, Jaunzēlande, Kanāda, Lielbritānija, Zviedrija
Dacarex Indija
Dacarin Indija
Dacarpalm Peru
Dacarzine Indija
Dacin Slovēnija, Šveice
Dacmed Indija
Daracina Kolumbija
Deticene Francija, Grieķija, Holande, Portugāle, Saūda Arābija
Detimedac Kolumbija, Rumānija, Tunisija, Vācija
DTIC Amerikas Savienotās Valstis, Austrija, Jaunzēlande
Fauldetic Portugāle
Oncocarbil Argentīna, Ekvadora, Peru
Tiferomed Meksika
Maisījuma stabilitāte   Injekcija   Maisījuma stabilitāte : Dacarbazine     
Iepakojums Šķīdinātājs Koncentrācija Savienojums Temperatūra Glabāšana Stabilitātes ilgums Literatūras saraksts
Stikls Nātrija hlorīds 0.9% 0,85 mg/ml
Injekcija   Dacarbazine   
Injekcija   Granisetron hydrochloride 0,5 mg/ml
20°C-23°C
4 Stunda
Aizsargāt no gaismas 57
Pierādījumu līmenis A+
Stikls 5% glikoze 0,05 mg/ml
Injekcija   Dacarbazine   
Injekcija   Palonosetron hydrochloride 25 µg/ml
25°C
4 Stunda
Gaisma 2107
Pierādījumu līmenis A+
Polivinilhlorīds 5% glikoze 8 mg/ml
Injekcija   Dacarbazine   
Injekcija   Ondansetron hydrochloride 0,64 mg/ml
Injekcija   Doxorubicin hydrochloride 0,8 mg/ml
30°C
24 Stunda
Nav specifisks 26
Pierādījumu līmenis D
Polivinilhlorīds 5% glikoze 8 mg/ml
Injekcija   Dacarbazine   
Injekcija   Ondansetron hydrochloride 0,64 mg/ml
Injekcija   Doxorubicin hydrochloride 0,8 mg/ml
4°C
7 Diena
Aizsargāt no gaismas 26
Pierādījumu līmenis D

  Mentions Légales