Ostatnia aktualizacja :
18/03/2026
Lek cytostatyk   Dacarbazine  
Injekcje
Trwałość roztworów Trwałość w mieszaninie Czynnik wpływający na trwałość Zgodność Sposób podania Bibliografia pdf
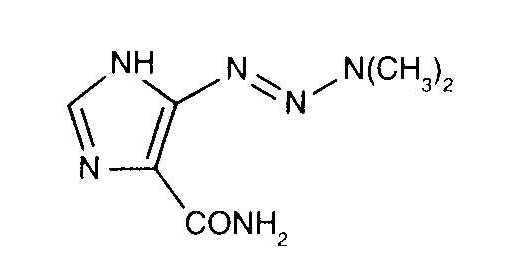
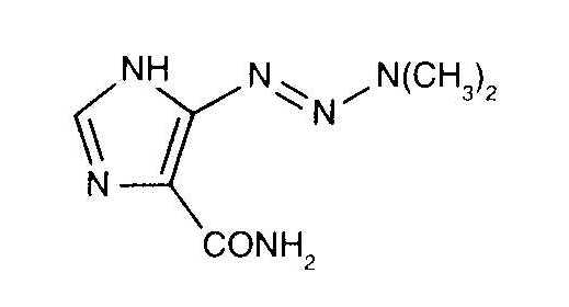
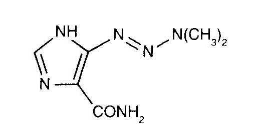
   Struktura chemiczna  

Nazwa handlowa   Nazwa handlowa     

Trade names are indicative and excipients composition can be different depending on the country and manufacturers

Acocarb Meksyk
Celdaz Indie, Peru
Dabaz Brazylia, Indie
Dacarba Indie
Dacarbazin Austria, Malezja, Polska, Węgry
Dacarbazina Argentyna, Brazylia, Chile, Ekwador, Hiszpania, KolumbiaKolumbia, Meksyk, Peru, Włochy
Dacarbazine Australia, Belgia, Dania, Indie, Iran, Irlandia, Kanada, nowa Zelandia, Stany Zjednoczone Ameryki, Szwecja, Wielka Brytania
Dacarex Indie
Dacarin Indie
Dacarpalm Peru
Dacarzine Indie
Dacin Szwajcaria, Słowenia
Dacmed Indie
Daracina KolumbiaKolumbia
Deticene Arabia Saudyjska, Francja , Grecja, Holandia, Portugalia
Detimedac KolumbiaKolumbia, Niemcy, Rumunia, Tunisie
DTIC Austria, nowa Zelandia, Stany Zjednoczone Ameryki
Fauldetic Portugalia
Oncocarbil Argentyna, Ekwador, Peru
Tiferomed Meksyk
Trwałość w mieszaninie   Injekcje   Trwałość w mieszaninie : Dacarbazine     
Pojemnik Rozpuszczalnik Stężenie Związek Temperatura Przechowywanie Czas trwania stabilności Bibliografia
Szkło Chlorek sodu 0,9% 0,85 mg/ml
Injekcje   Dacarbazine   
Injekcje   Granisetron hydrochloride 0,5 mg/ml
20°C-23°C
4 Godzina
Chronić od światła 57
Poziom wiarygodności A+
Szkło Glukoza 5% 0,05 mg/ml
Injekcje   Dacarbazine   
Injekcje   Palonosetron hydrochloride 25 µg/ml
25°C
4 Godzina
światło 2107
Poziom wiarygodności A+
Polichlorek winylu Glukoza 5% 8 mg/ml
Injekcje   Dacarbazine   
Injekcje   Ondansetron hydrochloride 0,64 mg/ml
Injekcje   Doxorubicin hydrochloride 0,8 mg/ml
30°C
24 Godzina
Nie wyszczególniony 26
Poziom wiarygodności D
Polichlorek winylu Glukoza 5% 8 mg/ml
Injekcje   Dacarbazine   
Injekcje   Ondansetron hydrochloride 0,64 mg/ml
Injekcje   Doxorubicin hydrochloride 0,8 mg/ml
4°C
7 Dzień
Chronić od światła 26
Poziom wiarygodności D

  Mentions Légales