Senaste uppdateringen :
18/03/2026
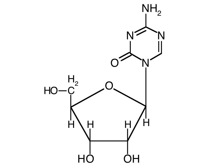
cancerläkemedel   Azacitidine  
injektion
Lösningars stabilitet Stabilitet i blandningar Faktorer som påverkar stabiliteten Kompatibilitet Administreringssätt Hänvisningar pdf
   Molekylstruktur  

Varunamn   Varunamn     

Angivna handelsnamn på läkemedel är enbart vägledande då formulering inklusive hjälpämnen kan variera mellan länder och tillverkare

Amilix Argentina
Arquimes Argentina
Azacimyl Chile
Azacitidina Argentina, Chile, Peru
Azacitidine Förenta Staterna, Tyskland
Azacor Peru
Azadin Turkiet
Azamex Argentina
Azanova Argentina
Azateva Argentina
Azida Turkiet
Azitech Argentina
Citofin Argentina
Iclacitidina Peru
Iterbil Argentina
Maturus Argentina
Mietozitidina Argentina, Peru
Nimodac Argentina
Remitiva Chile
Tazadir Argentina
Vidaza Argentina, Australien, Belgien, Brasilien, Chile, Colombia, Finland, Förenta Staterna, Frankrike, Island, Italien, Japan, Kanada, Kroatien, Luxemburg, Malaysia, Mexiko, Norge, nya Zeeland, Peru, Rumänien, Schweiz, Slovenien, Spanien, Storbritannien, Sverige, Tunisien, Turkiet, Tyskland, Ungern
Zacidonel Mexiko
Zylatadina Argentina
Lösningars stabilitet   injektion   Lösningars stabilitet : Azacitidine     
Behållare Lösningsmedel Koncentration Temperatur Förvaring Stabilitets varaktighet Hänvisningar
Glas Vatten för injektion 10 & 25 mg/ml 25°C Ej angiven
2 Timma
4227
Evidensnivå B

Glas Vatten för injektion 25 mg/ml 2-8°C Ej angiven
8 Timma
3236
Tillverkarens stabilitetsuppgifter

Glas Vatten för injektion 25 mg/ml 25°C Ej angiven
0.75 Timma
3236
Tillverkarens stabilitetsuppgifter

Glas Natriumklorid 0,9 % 0.2 mg/ml 25°C Ej angiven
1.9 Timma
1039
Evidensnivå D

Glas Natriumklorid 0,9 % 2 mg/ml 25°C Ej angiven
2.4 Timma
1039
Evidensnivå D

Glas Ringer-laktatlösning 0.2 mg/ml 25°C Ej angiven
1.9 Timma
1039
Evidensnivå D

Glas Ringer-laktatlösning 2 mg/ml 25°C Ej angiven
2.8 Timma
1039
Evidensnivå D

Glas Vatten för injektion (4°C) 10 & 25 mg/ml -20°C Ej angiven
21 Dag
4227
Evidensnivå B

Glas Vatten för injektion (4°C) 10 & 25 mg/ml 25°C Ej angiven
4 Timma
4227
Evidensnivå B

Glas Vatten för injektion (4°C) 10 & 25 mg/ml 4°C Ej angiven
24 Timma
4227
Evidensnivå B

motstridiga uppgifter
Glas Vatten för injektion (4°C) 25 mg/ml 2-8°C Skyddas från ljus
22 Timma
3236
Tillverkarens stabilitetsuppgifter

Polypropylen Natriumklorid 0,9 % 1.4 >> 2.4 mg/ml 4°C Ej angiven
3 Timma
3816
Evidensnivå D

Polypropylen Vatten för injektion (4°C) 10 & 25 mg/ml -20°C Ej angiven
21 Dag
4227
Evidensnivå B

Polypropylen Vatten för injektion (4°C) 10 & 25 mg/ml 4°C Ej angiven
24 Timma
4227
Evidensnivå B

motstridiga uppgifter
Spruta polypropen Ringer-laktatlösning 0.5 mg/ml -20°C Skyddas från ljus
30 Dag
414
Evidensnivå D

Spruta polypropen Ringer-laktatlösning 0.5 & 2 mg/ml 20°C Ej angiven
2 Timma
414
Evidensnivå D

Spruta polypropen Ringer-laktatlösning 2 mg/ml -20°C Skyddas från ljus
18 Dag
414
Evidensnivå D

Spruta polypropen Vatten för injektion (4°C) 25 mg/ml -20°C Skyddas från ljus
8 Dag
3204
Evidensnivå A

Spruta polypropen Vatten för injektion (4°C) 25 mg/ml -20°C Ej angiven
23 Dag
3351
Evidensnivå B

Spruta polypropen Vatten för injektion (4°C) 25 mg/ml -20°C Skyddas från ljus
30 Dag
3818
Evidensnivå A

Spruta polypropen Vatten för injektion (4°C) 25 mg/ml -20°C Skyddas från ljus
28 Dag
4697
Evidensnivå C

Spruta polypropen Vatten för injektion (4°C) 25 mg/ml 2-8°C Skyddas från ljus
48 Timma
3534
Evidensnivå A

motstridiga uppgifter
Spruta polypropen Vatten för injektion (4°C) 25 mg/ml 2-8°C Skyddas från ljus
3 Dag
3818
Evidensnivå A

motstridiga uppgifter
Spruta polypropen Vatten för injektion (4°C) 25 mg/ml 2-8°C Skyddas från ljus
48 Timma
4628
Evidensnivå A+

motstridiga uppgifter
Spruta polypropen Vatten för injektion (4°C) 25 mg/ml 2-8°C Skyddas från ljus
4 Dag
4697
Evidensnivå C

motstridiga uppgifter
Spruta polypropen Vatten för injektion (4°C) 25 mg/ml 20-25°C Skyddas från ljus
2 Timma
4697
Evidensnivå C

Spruta polypropen Vatten för injektion (4°C) 25 mg/ml 4°C Skyddas från ljus
5 Dag
3246
Evidensnivå A+

motstridiga uppgifter

  Mentions Légales