Ultimo aggiornamento :
18/03/2026
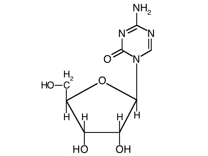
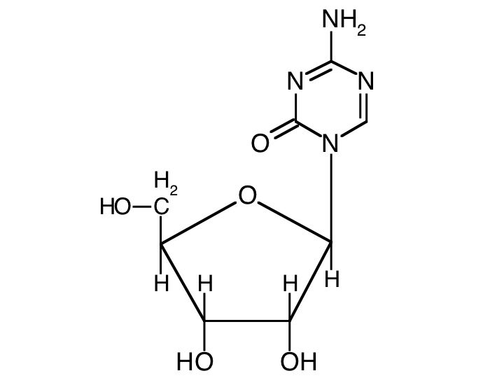
farmaco contro il cancro   Azacitidine  
Iniezione
Stabilità in soluzione Stabilità in miscela Fattori che influenzano la stabilità Compatibilità metodo di iniezione Bibliografia pdf
   Struttura chimica  

Nome commerciale   Nome commerciale     

Trade names are indicative and excipients composition can be different depending on the country and manufacturers

Amilix Argentina
Arquimes Argentina
Azacimyl Chile
Azacitidina Argentina, Chile, Perù
Azacitidine Germania, Stati Uniti d’America
Azacor Perù
Azadin Turchia
Azamex Argentina
Azanova Argentina
Azateva Argentina
Azida Turchia
Azitech Argentina
Citofin Argentina
Iclacitidina Perù
Iterbil Argentina
Maturus Argentina
Mietozitidina Argentina, Perù
Nimodac Argentina
Remitiva Chile
Tazadir Argentina
Vidaza Argentina, Australia, Belgio, Brasile, Canada, Chile, Colombia, Croazia, Finlandia, Francia, Germania, Giappone, Gran Bretagna, Islanda, Italia, Lussemburgo, Malaysia, Messico, Norvegia, nuova Zelanda, Perù, Romania, Slovenia, Spagna, Stati Uniti d’America, Svezia, Svizzera, Tunisia, Turchia, Ungheria
Zacidonel Messico
Zylatadina Argentina
Stabilità in soluzione   Iniezione   Stabilità in soluzione : Azacitidine     
contenitore Solvente Concentrazione Temperatura Conservazione Durata della stabilità Bibliografia
Vetro Acqua per preparato iniettabile 10 & 25 mg/ml 25°C Non precisata
2 Ora
4227
Livello di evidenza B

Vetro Acqua per preparato iniettabile 25 mg/ml 2-8°C Non precisata
8 Ora
3236
Dati di stabilità del produttore

Vetro Acqua per preparato iniettabile 25 mg/ml 25°C Non precisata
0.75 Ora
3236
Dati di stabilità del produttore

Vetro Cloruro di sodio 0,9% 0.2 mg/ml 25°C Non precisata
1.9 Ora
1039
Livello di evidenza D

Vetro Cloruro di sodio 0,9% 2 mg/ml 25°C Non precisata
2.4 Ora
1039
Livello di evidenza D

Vetro Ringer lattato 0.2 mg/ml 25°C Non precisata
1.9 Ora
1039
Livello di evidenza D

Vetro Ringer lattato 2 mg/ml 25°C Non precisata
2.8 Ora
1039
Livello di evidenza D

Vetro Acqua per preparato iniettabile (4°C) 10 & 25 mg/ml -20°C Non precisata
21 Giorno
4227
Livello di evidenza B

Vetro Acqua per preparato iniettabile (4°C) 10 & 25 mg/ml 25°C Non precisata
4 Ora
4227
Livello di evidenza B

Vetro Acqua per preparato iniettabile (4°C) 10 & 25 mg/ml 4°C Non precisata
24 Ora
4227
Livello di evidenza B

dati contrastanti
Vetro Acqua per preparato iniettabile (4°C) 25 mg/ml 2-8°C Al riparo dalla luce
22 Ora
3236
Dati di stabilità del produttore

Polipropilene Cloruro di sodio 0,9% 1.4 >> 2.4 mg/ml 4°C Non precisata
3 Ora
3816
Livello di evidenza D

Polipropilene Acqua per preparato iniettabile (4°C) 10 & 25 mg/ml -20°C Non precisata
21 Giorno
4227
Livello di evidenza B

Polipropilene Acqua per preparato iniettabile (4°C) 10 & 25 mg/ml 4°C Non precisata
24 Ora
4227
Livello di evidenza B

dati contrastanti
siringa polipropilene Ringer lattato 0.5 mg/ml -20°C Al riparo dalla luce
30 Giorno
414
Livello di evidenza D

siringa polipropilene Ringer lattato 0.5 & 2 mg/ml 20°C Non precisata
2 Ora
414
Livello di evidenza D

siringa polipropilene Ringer lattato 2 mg/ml -20°C Al riparo dalla luce
18 Giorno
414
Livello di evidenza D

siringa polipropilene Acqua per preparato iniettabile (4°C) 25 mg/ml -20°C Al riparo dalla luce
8 Giorno
3204
Livello di evidenza A

siringa polipropilene Acqua per preparato iniettabile (4°C) 25 mg/ml -20°C Non precisata
23 Giorno
3351
Livello di evidenza B

siringa polipropilene Acqua per preparato iniettabile (4°C) 25 mg/ml -20°C Al riparo dalla luce
30 Giorno
3818
Livello di evidenza A

siringa polipropilene Acqua per preparato iniettabile (4°C) 25 mg/ml -20°C Al riparo dalla luce
28 Giorno
4697
Livello di evidenza C

siringa polipropilene Acqua per preparato iniettabile (4°C) 25 mg/ml 2-8°C Al riparo dalla luce
48 Ora
3534
Livello di evidenza A

dati contrastanti
siringa polipropilene Acqua per preparato iniettabile (4°C) 25 mg/ml 2-8°C Al riparo dalla luce
3 Giorno
3818
Livello di evidenza A

dati contrastanti
siringa polipropilene Acqua per preparato iniettabile (4°C) 25 mg/ml 2-8°C Al riparo dalla luce
48 Ora
4628
Livello di evidenza A+

dati contrastanti
siringa polipropilene Acqua per preparato iniettabile (4°C) 25 mg/ml 2-8°C Al riparo dalla luce
4 Giorno
4697
Livello di evidenza C

dati contrastanti
siringa polipropilene Acqua per preparato iniettabile (4°C) 25 mg/ml 20-25°C Al riparo dalla luce
2 Ora
4697
Livello di evidenza C

siringa polipropilene Acqua per preparato iniettabile (4°C) 25 mg/ml 4°C Al riparo dalla luce
5 Giorno
3246
Livello di evidenza A+

dati contrastanti

  Mentions Légales