Utolsó frissítés :
18/03/2026
rákellenes gyógyszer   Azacitidine  
Injekció
Az oldatok stabilitása A keverékek stabilitása Stabilitást befolyásoló tényezők Kompatibilitás Az alkalmazás módja Irodalom pdf
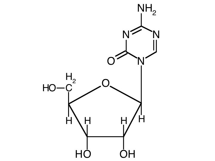
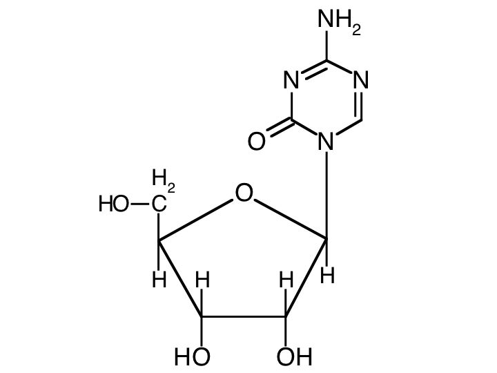
   Kémiai szerkezet   

Kereskedelmi név   Kereskedelmi név     

A kereskedelmi név meghatározó jelentőségű: a készítmények összetétele országonként, előállítóként eltérő lehet

Amilix Argentína
Arquimes Argentína
Azacimyl Chile
Azacitidina Argentína, Chile, Peru
Azacitidine Amerikai Egyesült Államok, Németország
Azacor Peru
Azadin Törökország
Azamex Argentína
Azanova Argentína
Azateva Argentína
Azida Törökország
Azitech Argentína
Citofin Argentína
Iclacitidina Peru
Iterbil Argentína
Maturus Argentína
Mietozitidina Argentína, Peru
Nimodac Argentína
Remitiva Chile
Tazadir Argentína
Vidaza Amerikai Egyesült Államok, Argentína, Ausztrália, Belgium, Brazília, Chile, Colombia, Finnország, Franciaország, Horvátország, Izland, Japán, Kanada, Luxemburg, Magyarország, Malaysia, Mexikó, Nagy-Britannia, Németország, Norvégia, Olaszország, Peru, Románia, Spanyolország, Svájc, Svédország, Szlovénia, Törökország, Tunézia, új-Zéland
Zacidonel Mexikó
Zylatadina Argentína
Az oldatok stabilitása   Injekció   Az oldatok stabilitása : Azacitidine     
Csomagolás Oldószer Koncentráció Hőmérséklet Tárolás A stabilitás időtartama Irodalom
Üveg Injekcióhoz való víz 10 & 25 mg/ml 25°C Nincs meghatározva
2 Óra
4227
Szintű bizonyítékot B

Üveg Injekcióhoz való víz 25 mg/ml 2-8°C Nincs meghatározva
8 Óra
3236
Gyártó stabilitási adatokra

Üveg Injekcióhoz való víz 25 mg/ml 25°C Nincs meghatározva
0.75 Óra
3236
Gyártó stabilitási adatokra

Üveg 0,9% nátrium-klorid 0.2 mg/ml 25°C Nincs meghatározva
1.9 Óra
1039
Szintű bizonyítékot D

Üveg 0,9% nátrium-klorid 2 mg/ml 25°C Nincs meghatározva
2.4 Óra
1039
Szintű bizonyítékot D

Üveg Ringer-laktát oldat 0.2 mg/ml 25°C Nincs meghatározva
1.9 Óra
1039
Szintű bizonyítékot D

Üveg Ringer-laktát oldat 2 mg/ml 25°C Nincs meghatározva
2.8 Óra
1039
Szintű bizonyítékot D

Üveg Injekcióhoz való víz (4°C) 10 & 25 mg/ml -20°C Nincs meghatározva
21 Nap
4227
Szintű bizonyítékot B

Üveg Injekcióhoz való víz (4°C) 10 & 25 mg/ml 25°C Nincs meghatározva
4 Óra
4227
Szintű bizonyítékot B

Üveg Injekcióhoz való víz (4°C) 10 & 25 mg/ml 4°C Nincs meghatározva
24 Óra
4227
Szintű bizonyítékot B

ellentmondó adatok
Üveg Injekcióhoz való víz (4°C) 25 mg/ml 2-8°C Fénytől védve tartandó
22 Óra
3236
Gyártó stabilitási adatokra

Polipropilén 0,9% nátrium-klorid 1.4 >> 2.4 mg/ml 4°C Nincs meghatározva
3 Óra
3816
Szintű bizonyítékot D

Polipropilén Injekcióhoz való víz (4°C) 10 & 25 mg/ml -20°C Nincs meghatározva
21 Nap
4227
Szintű bizonyítékot B

Polipropilén Injekcióhoz való víz (4°C) 10 & 25 mg/ml 4°C Nincs meghatározva
24 Óra
4227
Szintű bizonyítékot B

ellentmondó adatok
fecskendő polipropilén Ringer-laktát oldat 0.5 mg/ml -20°C Fénytől védve tartandó
30 Nap
414
Szintű bizonyítékot D

fecskendő polipropilén Ringer-laktát oldat 0.5 & 2 mg/ml 20°C Nincs meghatározva
2 Óra
414
Szintű bizonyítékot D

fecskendő polipropilén Ringer-laktát oldat 2 mg/ml -20°C Fénytől védve tartandó
18 Nap
414
Szintű bizonyítékot D

fecskendő polipropilén Injekcióhoz való víz (4°C) 25 mg/ml -20°C Fénytől védve tartandó
8 Nap
3204
Szintű bizonyítékot A

fecskendő polipropilén Injekcióhoz való víz (4°C) 25 mg/ml -20°C Nincs meghatározva
23 Nap
3351
Szintű bizonyítékot B

fecskendő polipropilén Injekcióhoz való víz (4°C) 25 mg/ml -20°C Fénytől védve tartandó
30 Nap
3818
Szintű bizonyítékot A

fecskendő polipropilén Injekcióhoz való víz (4°C) 25 mg/ml -20°C Fénytől védve tartandó
28 Nap
4697
Szintű bizonyítékot C

fecskendő polipropilén Injekcióhoz való víz (4°C) 25 mg/ml 2-8°C Fénytől védve tartandó
48 Óra
3534
Szintű bizonyítékot A

ellentmondó adatok
fecskendő polipropilén Injekcióhoz való víz (4°C) 25 mg/ml 2-8°C Fénytől védve tartandó
3 Nap
3818
Szintű bizonyítékot A

ellentmondó adatok
fecskendő polipropilén Injekcióhoz való víz (4°C) 25 mg/ml 2-8°C Fénytől védve tartandó
48 Óra
4628
Szintű bizonyítékot A+

ellentmondó adatok
fecskendő polipropilén Injekcióhoz való víz (4°C) 25 mg/ml 2-8°C Fénytől védve tartandó
4 Nap
4697
Szintű bizonyítékot C

ellentmondó adatok
fecskendő polipropilén Injekcióhoz való víz (4°C) 25 mg/ml 20-25°C Fénytől védve tartandó
2 Óra
4697
Szintű bizonyítékot C

fecskendő polipropilén Injekcióhoz való víz (4°C) 25 mg/ml 4°C Fénytől védve tartandó
5 Nap
3246
Szintű bizonyítékot A+

ellentmondó adatok

  Mentions Légales