Ultimele actualizari :
12/12/2025
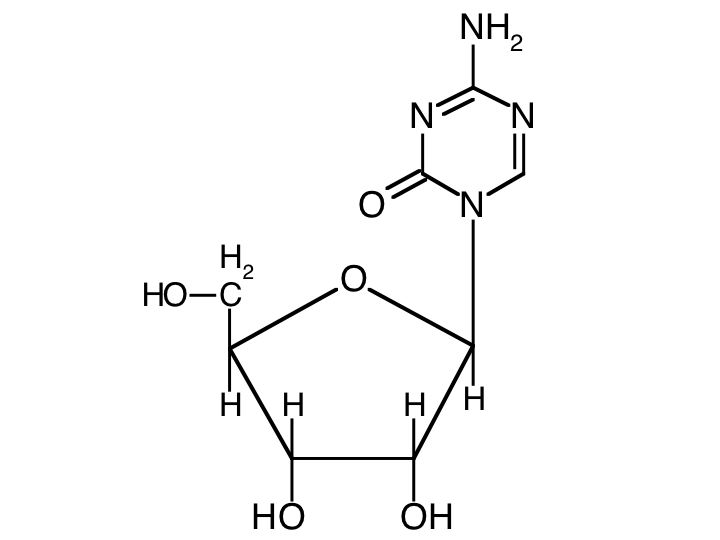
Citostatic   Azacitidine  
Injectabil
Stabilitatea in solutie Stabilitatea in amestec Factorii care influenteaza stabilitatea Compatibilitate Microunde Bibliografie pdf
   Formula chimica  

Denumirea comerciala   Denumirea comerciala     

Trade names are indicative and excipients composition can be different depending on the country and manufacturers

Amilix Argentina
Arquimes Argentina
Azacimyl Chilli
Azacitidina Argentina, Chilli, Peru
Azacitidine Germania, SUA
Azacor Peru
Azadin Turcia
Azamex Argentina
Azanova Argentina
Azateva Argentina
Azida Turcia
Azitech Argentina
Citofin Argentina
Iclacitidina Peru
Iterbil Argentina
Maturus Argentina
Mietozitidina Argentina, Peru
Nimodac Argentina
Remitiva Chilli
Tazadir Argentina
Vidaza Argentina, Australia, Belgia, Brazilia, Canada, Chilli, Columbia, Croatia, Elvetia, Finlanda, Franta, Germania, Islanda, Italia, Japonia, Luxemburg, Malaezia, Marea Britanie, Mexic, Norvegia, noua Zeelandă, Peru, Romania, Slovenia, Spania, SUA, Suedia, Tunisia, Turcia, Ungaria
Zacidonel Mexic
Zylatadina Argentina
Stabilitatea in solutie   Injectabil   Stabilitatea in solutie : Azacitidine     
Continut Solvent Concentratie Temperatura Conservare Durata stabilității Bibiografie
sticla apa pentru preparate injectabile 10 & 25 mg/ml 25°C Neprecizat
2 Ora
4227
Nivel de evidență B

sticla apa pentru preparate injectabile 25 mg/ml 2-8°C Neprecizat
8 Ora
3236
Documentele de stabilitate ale producătorului

sticla apa pentru preparate injectabile 25 mg/ml 25°C Neprecizat
0.75 Ora
3236
Documentele de stabilitate ale producătorului

sticla clorura de sodiu 0,9% 0.2 mg/ml 25°C Neprecizat
1.9 Ora
1039
Nivel de evidență D

sticla clorura de sodiu 0,9% 2 mg/ml 25°C Neprecizat
2.4 Ora
1039
Nivel de evidență D

sticla Solutie Ringer lactat 0.2 mg/ml 25°C Neprecizat
1.9 Ora
1039
Nivel de evidență D

sticla Solutie Ringer lactat 2 mg/ml 25°C Neprecizat
2.8 Ora
1039
Nivel de evidență D

sticla apa pentru preparate injectabile (4°C) 10 & 25 mg/ml -20°C Neprecizat
21 Ziua
4227
Nivel de evidență B

sticla apa pentru preparate injectabile (4°C) 10 & 25 mg/ml 25°C Neprecizat
4 Ora
4227
Nivel de evidență B

sticla apa pentru preparate injectabile (4°C) 10 & 25 mg/ml 4°C Neprecizat
24 Ora
4227
Nivel de evidență B

date contradictorii
sticla apa pentru preparate injectabile (4°C) 25 mg/ml 2-8°C Ferit de lumina
22 Ora
3236
Documentele de stabilitate ale producătorului

polipropilen clorura de sodiu 0,9% 1.4 >> 2.4 mg/ml 4°C Neprecizat
3 Ora
3816
Nivel de evidență D

polipropilen apa pentru preparate injectabile (4°C) 10 & 25 mg/ml -20°C Neprecizat
21 Ziua
4227
Nivel de evidență B

polipropilen apa pentru preparate injectabile (4°C) 10 & 25 mg/ml 4°C Neprecizat
24 Ora
4227
Nivel de evidență B

date contradictorii
seringă polipropileno Solutie Ringer lactat 0.5 mg/ml -20°C Ferit de lumina
30 Ziua
414
Nivel de evidență D

seringă polipropileno Solutie Ringer lactat 0.5 & 2 mg/ml 20°C Neprecizat
2 Ora
414
Nivel de evidență D

seringă polipropileno Solutie Ringer lactat 2 mg/ml -20°C Ferit de lumina
18 Ziua
414
Nivel de evidență D

seringă polipropileno apa pentru preparate injectabile (4°C) 25 mg/ml -20°C Ferit de lumina
8 Ziua
3204
Nivel de evidență A

seringă polipropileno apa pentru preparate injectabile (4°C) 25 mg/ml -20°C Neprecizat
23 Ziua
3351
Nivel de evidență B

seringă polipropileno apa pentru preparate injectabile (4°C) 25 mg/ml -20°C Ferit de lumina
30 Ziua
3818
Nivel de evidență A

seringă polipropileno apa pentru preparate injectabile (4°C) 25 mg/ml -20°C Ferit de lumina
28 Ziua
4697
Nivel de evidență C

seringă polipropileno apa pentru preparate injectabile (4°C) 25 mg/ml 2-8°C Ferit de lumina
48 Ora
3534
Nivel de evidență A

date contradictorii
seringă polipropileno apa pentru preparate injectabile (4°C) 25 mg/ml 2-8°C Ferit de lumina
3 Ziua
3818
Nivel de evidență A

date contradictorii
seringă polipropileno apa pentru preparate injectabile (4°C) 25 mg/ml 2-8°C Ferit de lumina
48 Ora
4628
Nivel de evidență A+

date contradictorii
seringă polipropileno apa pentru preparate injectabile (4°C) 25 mg/ml 2-8°C Ferit de lumina
4 Ziua
4697
Nivel de evidență C

date contradictorii
seringă polipropileno apa pentru preparate injectabile (4°C) 25 mg/ml 20-25°C Ferit de lumina
2 Ora
4697
Nivel de evidență C

seringă polipropileno apa pentru preparate injectabile (4°C) 25 mg/ml 4°C Ferit de lumina
5 Ziua
3246
Nivel de evidență A+

date contradictorii

  Mentions Légales