Τελευταία ενημέρωση :
16/12/2025
φάρμακο κατά του καρκίνου   Azacitidine  
Ενέσιμο
Σταθερότητα διαλυμάτων Σταθερότητα σε μίγματα Παράγοντας που επηρεάζει τη σταθερότητα Συμβατότητες Τρόπος χορήγησης Βιβλιογραφία pdf
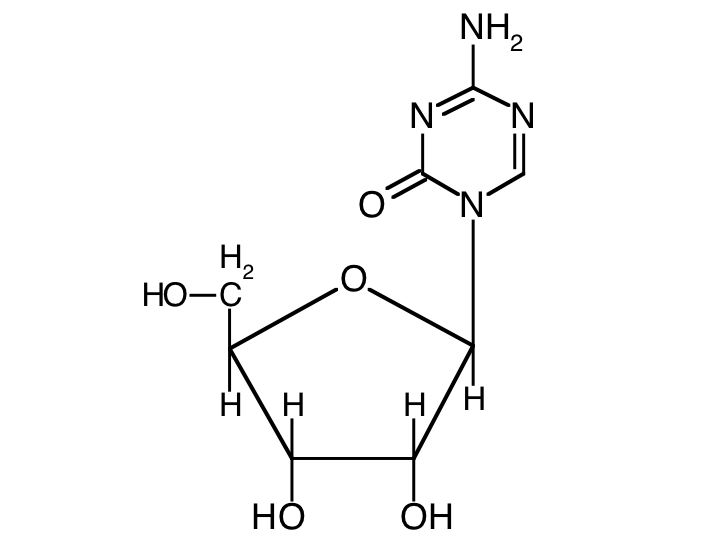
   χημική δομή  

Εμπορική ονομασία   Εμπορική ονομασία     

Οι εμπορικές ονομασίες είναι ενδεικτικές και η σύνθεση των εκδόχων μπορεί να διαφέρει ανάλογα με τη χώρα και τα εργαστήρια

Amilix Αργεντινή
Arquimes Αργεντινή
Azacimyl Χιλή
Azacitidina Αργεντινή, Περού, Χιλή
Azacitidine Γερμανία, Η.Π.Α.
Azacor Περού
Azadin Τουρκία
Azamex Αργεντινή
Azanova Αργεντινή
Azateva Αργεντινή
Azida Τουρκία
Azitech Αργεντινή
Citofin Αργεντινή
Iclacitidina Περού
Iterbil Αργεντινή
Maturus Αργεντινή
Mietozitidina Αργεντινή, Περού
Nimodac Αργεντινή
Remitiva Χιλή
Tazadir Αργεντινή
Vidaza Αργεντινή, Αυστραλία, Βέλγιο, Βραζιλία, Γαλλία, Γερμανία, Ελβετία, Η.Π.Α., Ιαπωνία, Ισλανδία, Ισπανία, Ιταλία, Καναδάς, Κολομβία, Κροατία, Λουξεμβούργο, Μαλαισία, Μεγάλη Βρετανία, Μεξικό, νέα Ζηλανδία, Νορβηγία, Ουγγαρία, Περού, Ρουμανία, Σλοβενία, Σουηδία, Τουρκία, Τυνησία, Φινλανδία, Χιλή
Zacidonel Μεξικό
Zylatadina Αργεντινή
Σταθερότητα διαλυμάτων   Ενέσιμο   Σταθερότητα διαλυμάτων : Azacitidine     
Υποδοχέας Διαλυτικό Συγκέντρωση Θερμοκρασία Αποθήκευση Διάρκεια σταθερότητας Βιβλιογραφία
Ύαλος Ενέσιμο ύδωρ 10 & 25 mg/ml 25°C Απροσδιόριστο
2 Ώρα
4227
Επίπεδο των αποδεικτικών στοιχείων B

Ύαλος Ενέσιμο ύδωρ 25 mg/ml 2-8°C Απροσδιόριστο
8 Ώρα
3236
Δεδομένα σταθερότητας του κατασκευαστή/ών

Ύαλος Ενέσιμο ύδωρ 25 mg/ml 25°C Απροσδιόριστο
0.75 Ώρα
3236
Δεδομένα σταθερότητας του κατασκευαστή/ών

Ύαλος Χλωριούχο νάτριο 0,9% 0.2 mg/ml 25°C Απροσδιόριστο
1.9 Ώρα
1039
Επίπεδο των αποδεικτικών στοιχείων D

Ύαλος Χλωριούχο νάτριο 0,9% 2 mg/ml 25°C Απροσδιόριστο
2.4 Ώρα
1039
Επίπεδο των αποδεικτικών στοιχείων D

Ύαλος Γαλακτικό διάλυμα Ringer 0.2 mg/ml 25°C Απροσδιόριστο
1.9 Ώρα
1039
Επίπεδο των αποδεικτικών στοιχείων D

Ύαλος Γαλακτικό διάλυμα Ringer 2 mg/ml 25°C Απροσδιόριστο
2.8 Ώρα
1039
Επίπεδο των αποδεικτικών στοιχείων D

Ύαλος Ενέσιμο ύδωρ (4°C) 10 & 25 mg/ml -20°C Απροσδιόριστο
21 Ημέρα
4227
Επίπεδο των αποδεικτικών στοιχείων B

Ύαλος Ενέσιμο ύδωρ (4°C) 10 & 25 mg/ml 25°C Απροσδιόριστο
4 Ώρα
4227
Επίπεδο των αποδεικτικών στοιχείων B

Ύαλος Ενέσιμο ύδωρ (4°C) 10 & 25 mg/ml 4°C Απροσδιόριστο
24 Ώρα
4227
Επίπεδο των αποδεικτικών στοιχείων B

αντικρουόμενα δεδομένα
Ύαλος Ενέσιμο ύδωρ (4°C) 25 mg/ml 2-8°C Προστατεύετε από το φως
22 Ώρα
3236
Δεδομένα σταθερότητας του κατασκευαστή/ών

Πολυπροπυλένιο Χλωριούχο νάτριο 0,9% 1.4 >> 2.4 mg/ml 4°C Απροσδιόριστο
3 Ώρα
3816
Επίπεδο των αποδεικτικών στοιχείων D

Πολυπροπυλένιο Ενέσιμο ύδωρ (4°C) 10 & 25 mg/ml -20°C Απροσδιόριστο
21 Ημέρα
4227
Επίπεδο των αποδεικτικών στοιχείων B

Πολυπροπυλένιο Ενέσιμο ύδωρ (4°C) 10 & 25 mg/ml 4°C Απροσδιόριστο
24 Ώρα
4227
Επίπεδο των αποδεικτικών στοιχείων B

αντικρουόμενα δεδομένα
σύριγγα πολυπροπυλένιο Γαλακτικό διάλυμα Ringer 0.5 mg/ml -20°C Προστατεύετε από το φως
30 Ημέρα
414
Επίπεδο των αποδεικτικών στοιχείων D

σύριγγα πολυπροπυλένιο Γαλακτικό διάλυμα Ringer 0.5 & 2 mg/ml 20°C Απροσδιόριστο
2 Ώρα
414
Επίπεδο των αποδεικτικών στοιχείων D

σύριγγα πολυπροπυλένιο Γαλακτικό διάλυμα Ringer 2 mg/ml -20°C Προστατεύετε από το φως
18 Ημέρα
414
Επίπεδο των αποδεικτικών στοιχείων D

σύριγγα πολυπροπυλένιο Ενέσιμο ύδωρ (4°C) 25 mg/ml -20°C Προστατεύετε από το φως
8 Ημέρα
3204
Επίπεδο των αποδεικτικών στοιχείων A

σύριγγα πολυπροπυλένιο Ενέσιμο ύδωρ (4°C) 25 mg/ml -20°C Απροσδιόριστο
23 Ημέρα
3351
Επίπεδο των αποδεικτικών στοιχείων B

σύριγγα πολυπροπυλένιο Ενέσιμο ύδωρ (4°C) 25 mg/ml -20°C Προστατεύετε από το φως
30 Ημέρα
3818
Επίπεδο των αποδεικτικών στοιχείων A

σύριγγα πολυπροπυλένιο Ενέσιμο ύδωρ (4°C) 25 mg/ml -20°C Προστατεύετε από το φως
28 Ημέρα
4697
Επίπεδο των αποδεικτικών στοιχείων C

σύριγγα πολυπροπυλένιο Ενέσιμο ύδωρ (4°C) 25 mg/ml 2-8°C Προστατεύετε από το φως
48 Ώρα
3534
Επίπεδο των αποδεικτικών στοιχείων A

αντικρουόμενα δεδομένα
σύριγγα πολυπροπυλένιο Ενέσιμο ύδωρ (4°C) 25 mg/ml 2-8°C Προστατεύετε από το φως
3 Ημέρα
3818
Επίπεδο των αποδεικτικών στοιχείων A

αντικρουόμενα δεδομένα
σύριγγα πολυπροπυλένιο Ενέσιμο ύδωρ (4°C) 25 mg/ml 2-8°C Προστατεύετε από το φως
48 Ώρα
4628
Επίπεδο των αποδεικτικών στοιχείων A+

αντικρουόμενα δεδομένα
σύριγγα πολυπροπυλένιο Ενέσιμο ύδωρ (4°C) 25 mg/ml 2-8°C Προστατεύετε από το φως
4 Ημέρα
4697
Επίπεδο των αποδεικτικών στοιχείων C

αντικρουόμενα δεδομένα
σύριγγα πολυπροπυλένιο Ενέσιμο ύδωρ (4°C) 25 mg/ml 20-25°C Προστατεύετε από το φως
2 Ώρα
4697
Επίπεδο των αποδεικτικών στοιχείων C

σύριγγα πολυπροπυλένιο Ενέσιμο ύδωρ (4°C) 25 mg/ml 4°C Προστατεύετε από το φως
5 Ημέρα
3246
Επίπεδο των αποδεικτικών στοιχείων A+

αντικρουόμενα δεδομένα

  Mentions Légales