Última actualização :
17/12/2025
droga contra o câncer   Azacitidine  
injetável
Estabilidade em soluções simples Estabilidade em misturas Factores que afectam a sua estabilidade Compatibilidade Método de administração Bibliografía pdf
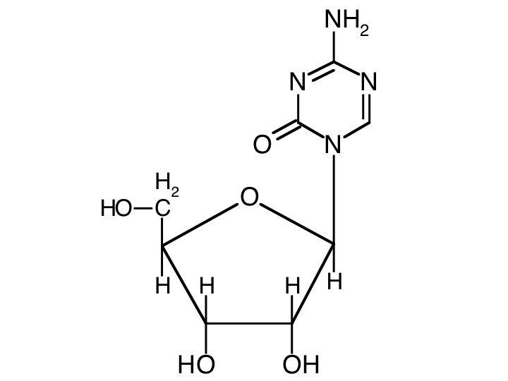
   estrutura química  

Nomes comerciais nos diversos países   Nomes comerciais nos diversos países     

OS NOMES COMERCIAIS SÃO INDICATIVOS E OS EXCIPIENTES DA FORMULAÇÃO PODEM SER DIFERENTES CONFORME O PAÍS E FABRICANTE.

Amilix Argentina
Arquimes Argentina
Azacimyl Chilli
Azacitidina Argentina, Chilli, Peru
Azacitidine Alemanha, Estados Unidos de América
Azacor Peru
Azadin Turquia
Azamex Argentina
Azanova Argentina
Azateva Argentina
Azida Turquia
Azitech Argentina
Citofin Argentina
Iclacitidina Peru
Iterbil Argentina
Maturus Argentina
Mietozitidina Argentina, Peru
Nimodac Argentina
Remitiva Chilli
Tazadir Argentina
Vidaza Alemanha, Argentina, Australia, Bélgica, Brasil, Canadá, Chilli, Colômbia, Croácia, Eslovenia, Espanha, Estados Unidos de América, Finlandia, França, Gran-bretanha, Hungria, Islandia, Itália, Japón, Luxemburgo, Malásia, México, Noruega, nova Zelândia, Peru, Romènia, Suècia, Suicia, Tunísia, Turquia
Zacidonel México
Zylatadina Argentina
Estabilidade em soluções simples   injetável   Estabilidade em soluções simples : Azacitidine     
Embalagem Solvente concentração temperatura conservação Duração da estabilidade Bibliografia
vidro Agua para injectaveis 10 & 25 mg/ml 25°C no especificado
2 hora
4227
Nível de evidência B

vidro Agua para injectaveis 25 mg/ml 2-8°C no especificado
8 hora
3236
Dados estabilidade do fabricante

vidro Agua para injectaveis 25 mg/ml 25°C no especificado
0.75 hora
3236
Dados estabilidade do fabricante

vidro cloreto de sódio 0,9% 0.2 mg/ml 25°C no especificado
1.9 hora
1039
Nível de evidência D

vidro cloreto de sódio 0,9% 2 mg/ml 25°C no especificado
2.4 hora
1039
Nível de evidência D

vidro Ringer lactato 0.2 mg/ml 25°C no especificado
1.9 hora
1039
Nível de evidência D

vidro Ringer lactato 2 mg/ml 25°C no especificado
2.8 hora
1039
Nível de evidência D

vidro Agua para injectaveis (4°C) 10 & 25 mg/ml -20°C no especificado
21 dia
4227
Nível de evidência B

vidro Agua para injectaveis (4°C) 10 & 25 mg/ml 25°C no especificado
4 hora
4227
Nível de evidência B

vidro Agua para injectaveis (4°C) 10 & 25 mg/ml 4°C no especificado
24 hora
4227
Nível de evidência B

dados conflitantes
vidro Agua para injectaveis (4°C) 25 mg/ml 2-8°C ao abrigo da luz
22 hora
3236
Dados estabilidade do fabricante

Polipropileno cloreto de sódio 0,9% 1.4 >> 2.4 mg/ml 4°C no especificado
3 hora
3816
Nível de evidência D

Polipropileno Agua para injectaveis (4°C) 10 & 25 mg/ml -20°C no especificado
21 dia
4227
Nível de evidência B

Polipropileno Agua para injectaveis (4°C) 10 & 25 mg/ml 4°C no especificado
24 hora
4227
Nível de evidência B

dados conflitantes
seringa polipropylen Ringer lactato 0.5 mg/ml -20°C ao abrigo da luz
30 dia
414
Nível de evidência D

seringa polipropylen Ringer lactato 0.5 & 2 mg/ml 20°C no especificado
2 hora
414
Nível de evidência D

seringa polipropylen Ringer lactato 2 mg/ml -20°C ao abrigo da luz
18 dia
414
Nível de evidência D

seringa polipropylen Agua para injectaveis (4°C) 25 mg/ml -20°C ao abrigo da luz
8 dia
3204
Nível de evidência A

seringa polipropylen Agua para injectaveis (4°C) 25 mg/ml -20°C no especificado
23 dia
3351
Nível de evidência B

seringa polipropylen Agua para injectaveis (4°C) 25 mg/ml -20°C ao abrigo da luz
30 dia
3818
Nível de evidência A

seringa polipropylen Agua para injectaveis (4°C) 25 mg/ml -20°C ao abrigo da luz
28 dia
4697
Nível de evidência C

seringa polipropylen Agua para injectaveis (4°C) 25 mg/ml 2-8°C ao abrigo da luz
48 hora
3534
Nível de evidência A

dados conflitantes
seringa polipropylen Agua para injectaveis (4°C) 25 mg/ml 2-8°C ao abrigo da luz
3 dia
3818
Nível de evidência A

dados conflitantes
seringa polipropylen Agua para injectaveis (4°C) 25 mg/ml 2-8°C ao abrigo da luz
48 hora
4628
Nível de evidência A+

dados conflitantes
seringa polipropylen Agua para injectaveis (4°C) 25 mg/ml 2-8°C ao abrigo da luz
4 dia
4697
Nível de evidência C

dados conflitantes
seringa polipropylen Agua para injectaveis (4°C) 25 mg/ml 20-25°C ao abrigo da luz
2 hora
4697
Nível de evidência C

seringa polipropylen Agua para injectaveis (4°C) 25 mg/ml 4°C ao abrigo da luz
5 dia
3246
Nível de evidência A+

dados conflitantes

  Mentions Légales