Viimeisin päivitys :
17/12/2025
syöpälääke   Azacitidine  
Injektioneste
Stabilius liuoksessa Stabilius seoksissa Tekijät, jotka vaikuttavat stabiliuteen Yhteensopivuus Antotapa Viitteet pdf
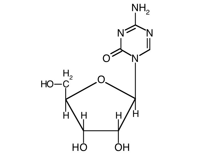
   Kemiallinen rakenne  

Kauppanimi   Kauppanimi     

Trade names are indicative and excipients composition can be different depending on the country and manufacturers

Amilix Argentiina
Arquimes Argentiina
Azacimyl Chile
Azacitidina Argentiina, Chile, Marokko
Azacitidine Saksa, Yhdysvallat
Azacor Marokko
Azadin Turkki
Azamex Argentiina
Azanova Argentiina
Azateva Argentiina
Azida Turkki
Azitech Argentiina
Citofin Argentiina
Iclacitidina Marokko
Iterbil Argentiina
Maturus Argentiina
Mietozitidina Argentiina, Marokko
Nimodac Argentiina
Remitiva Chile
Tazadir Argentiina
Vidaza Argentiina, Australia, Belgia, Brasilia, Chile, Espanja, Islanti, Iso-Britannia, Italia, Japani, Kanada, Kolumbia, Kroatia, Luxemburg, Malesia, Marokko, Meksiko, New Zealand, Norja, Ranska, Romania, Ruotsi, Saksa, Slovenia, Suomi, Sveitsi, Tunisia, Turkki, Unkari, Yhdysvallat
Zacidonel Meksiko
Zylatadina Argentiina
Stabilius liuoksessa   Injektioneste   Stabilius liuoksessa : Azacitidine     
Astia Liuotin Konsentraatio Lämpötila Säilytys Vakauden kesto Viitteet
Lasi Injektionesteisiin käytettävä vesi 10 & 25 mg/ml 25°C Ei määritetty
2 tunti
4227
Näytön laajuus B

Lasi Injektionesteisiin käytettävä vesi 25 mg/ml 2-8°C Ei määritetty
8 tunti
3236
Valmistajan antamat stabiiliustiedot

Lasi Injektionesteisiin käytettävä vesi 25 mg/ml 25°C Ei määritetty
0.75 tunti
3236
Valmistajan antamat stabiiliustiedot

Lasi Natriumkloridi 0,9% 0.2 mg/ml 25°C Ei määritetty
1.9 tunti
1039
Näytön laajuus D

Lasi Natriumkloridi 0,9% 2 mg/ml 25°C Ei määritetty
2.4 tunti
1039
Näytön laajuus D

Lasi Ringerlaktaattiliuos 0.2 mg/ml 25°C Ei määritetty
1.9 tunti
1039
Näytön laajuus D

Lasi Ringerlaktaattiliuos 2 mg/ml 25°C Ei määritetty
2.8 tunti
1039
Näytön laajuus D

Lasi Injektionesteisiin käytettävä vesi (4°C) 10 & 25 mg/ml -20°C Ei määritetty
21 Päivä
4227
Näytön laajuus B

Lasi Injektionesteisiin käytettävä vesi (4°C) 10 & 25 mg/ml 25°C Ei määritetty
4 tunti
4227
Näytön laajuus B

Lasi Injektionesteisiin käytettävä vesi (4°C) 10 & 25 mg/ml 4°C Ei määritetty
24 tunti
4227
Näytön laajuus B

ristiriitaisia tietoja
Lasi Injektionesteisiin käytettävä vesi (4°C) 25 mg/ml 2-8°C Suojattava valolta
22 tunti
3236
Valmistajan antamat stabiiliustiedot

Polypropyleeni Natriumkloridi 0,9% 1.4 >> 2.4 mg/ml 4°C Ei määritetty
3 tunti
3816
Näytön laajuus D

Polypropyleeni Injektionesteisiin käytettävä vesi (4°C) 10 & 25 mg/ml -20°C Ei määritetty
21 Päivä
4227
Näytön laajuus B

Polypropyleeni Injektionesteisiin käytettävä vesi (4°C) 10 & 25 mg/ml 4°C Ei määritetty
24 tunti
4227
Näytön laajuus B

ristiriitaisia tietoja
Ruisku  polypropeeni Ringerlaktaattiliuos 0.5 mg/ml -20°C Suojattava valolta
30 Päivä
414
Näytön laajuus D

Ruisku  polypropeeni Ringerlaktaattiliuos 0.5 & 2 mg/ml 20°C Ei määritetty
2 tunti
414
Näytön laajuus D

Ruisku  polypropeeni Ringerlaktaattiliuos 2 mg/ml -20°C Suojattava valolta
18 Päivä
414
Näytön laajuus D

Ruisku  polypropeeni Injektionesteisiin käytettävä vesi (4°C) 25 mg/ml -20°C Suojattava valolta
8 Päivä
3204
Näytön laajuus A

Ruisku  polypropeeni Injektionesteisiin käytettävä vesi (4°C) 25 mg/ml -20°C Ei määritetty
23 Päivä
3351
Näytön laajuus B

Ruisku  polypropeeni Injektionesteisiin käytettävä vesi (4°C) 25 mg/ml -20°C Suojattava valolta
30 Päivä
3818
Näytön laajuus A

Ruisku  polypropeeni Injektionesteisiin käytettävä vesi (4°C) 25 mg/ml -20°C Suojattava valolta
28 Päivä
4697
Näytön laajuus C

Ruisku  polypropeeni Injektionesteisiin käytettävä vesi (4°C) 25 mg/ml 2-8°C Suojattava valolta
48 tunti
3534
Näytön laajuus A

ristiriitaisia tietoja
Ruisku  polypropeeni Injektionesteisiin käytettävä vesi (4°C) 25 mg/ml 2-8°C Suojattava valolta
3 Päivä
3818
Näytön laajuus A

ristiriitaisia tietoja
Ruisku  polypropeeni Injektionesteisiin käytettävä vesi (4°C) 25 mg/ml 2-8°C Suojattava valolta
48 tunti
4628
Näytön laajuus A+

ristiriitaisia tietoja
Ruisku  polypropeeni Injektionesteisiin käytettävä vesi (4°C) 25 mg/ml 2-8°C Suojattava valolta
4 Päivä
4697
Näytön laajuus C

ristiriitaisia tietoja
Ruisku  polypropeeni Injektionesteisiin käytettävä vesi (4°C) 25 mg/ml 20-25°C Suojattava valolta
2 tunti
4697
Näytön laajuus C

Ruisku  polypropeeni Injektionesteisiin käytettävä vesi (4°C) 25 mg/ml 4°C Suojattava valolta
5 Päivä
3246
Näytön laajuus A+

ristiriitaisia tietoja

  Mentions Légales