Poslední aktualizace :
18/03/2026
rakovina drog   Azacitidine  
injekce
Stabilita roztoků Stabilita směsí Faktory ovlivňující stabilitu Kompatibilita Způsoby aplikace Odkazy pdf
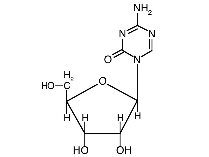
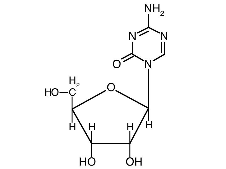
   Chemický vzorec  

Obchodní název   Obchodní název     

Trade names are indicative and excipients composition can be different depending on the country and manufacturers

Amilix Argentina
Arquimes Argentina
Azacimyl Chile
Azacitidina Argentina, Chile, Peru
Azacitidine NÏmecko, USA
Azacor Peru
Azadin Turecko
Azamex Argentina
Azanova Argentina
Azateva Argentina
Azida Turecko
Azitech Argentina
Citofin Argentina
Iclacitidina Peru
Iterbil Argentina
Maturus Argentina
Mietozitidina Argentina, Peru
Nimodac Argentina
Remitiva Chile
Tazadir Argentina
Vidaza äpanÏlsko, Argentina, Austrálie, Belgie, BrazÌlie, Chile, Chorvatsko, Finsko, Francie, Island, Itálie, Japonsko, Kanada, Kolumbie, Lucembursko, Malajsie, MaÔarsko, Mexiko, NÏmecko, Norsko, nový Zéland, Peru, Rumunsko, Slovinsko, Švédsko, Švýcarsko, Tunisko, Turecko, USA, Velká Británie
Zacidonel Mexiko
Zylatadina Argentina
Stabilita roztoků   injekce   Stabilita roztoků : Azacitidine     
Obal RozpouötÏdlo Koncentrace Teplota Uchovávání Trvání stability Odkazy
Sklo Voda pro injekci 10 & 25 mg/ml 25°C Nespecifikováno
2 Hodina
4227
Úroveň zkoušky B

Sklo Voda pro injekci 25 mg/ml 2-8°C Nespecifikováno
8 Hodina
3236
Údaje o stabilitě od výrobce

Sklo Voda pro injekci 25 mg/ml 25°C Nespecifikováno
0.75 Hodina
3236
Údaje o stabilitě od výrobce

Sklo Chlorid sodný 0,9% 0.2 mg/ml 25°C Nespecifikováno
1.9 Hodina
1039
Úroveň zkoušky D

Sklo Chlorid sodný 0,9% 2 mg/ml 25°C Nespecifikováno
2.4 Hodina
1039
Úroveň zkoušky D

Sklo RingerŐs laktátový roztok 0.2 mg/ml 25°C Nespecifikováno
1.9 Hodina
1039
Úroveň zkoušky D

Sklo RingerŐs laktátový roztok 2 mg/ml 25°C Nespecifikováno
2.8 Hodina
1039
Úroveň zkoušky D

Sklo Voda pro injekci (4°C) 10 & 25 mg/ml -20°C Nespecifikováno
21 Den
4227
Úroveň zkoušky B

Sklo Voda pro injekci (4°C) 10 & 25 mg/ml 25°C Nespecifikováno
4 Hodina
4227
Úroveň zkoušky B

Sklo Voda pro injekci (4°C) 10 & 25 mg/ml 4°C Nespecifikováno
24 Hodina
4227
Úroveň zkoušky B

konfliktní údaje
Sklo Voda pro injekci (4°C) 25 mg/ml 2-8°C Chráněno před světlem
22 Hodina
3236
Údaje o stabilitě od výrobce

polypropylen Chlorid sodný 0,9% 1.4 >> 2.4 mg/ml 4°C Nespecifikováno
3 Hodina
3816
Úroveň zkoušky D

polypropylen Voda pro injekci (4°C) 10 & 25 mg/ml -20°C Nespecifikováno
21 Den
4227
Úroveň zkoušky B

polypropylen Voda pro injekci (4°C) 10 & 25 mg/ml 4°C Nespecifikováno
24 Hodina
4227
Úroveň zkoušky B

konfliktní údaje
stříkačka polypropylen RingerŐs laktátový roztok 0.5 mg/ml -20°C Chráněno před světlem
30 Den
414
Úroveň zkoušky D

stříkačka polypropylen RingerŐs laktátový roztok 0.5 & 2 mg/ml 20°C Nespecifikováno
2 Hodina
414
Úroveň zkoušky D

stříkačka polypropylen RingerŐs laktátový roztok 2 mg/ml -20°C Chráněno před světlem
18 Den
414
Úroveň zkoušky D

stříkačka polypropylen Voda pro injekci (4°C) 25 mg/ml -20°C Chráněno před světlem
8 Den
3204
Úroveň zkoušky A

stříkačka polypropylen Voda pro injekci (4°C) 25 mg/ml -20°C Nespecifikováno
23 Den
3351
Úroveň zkoušky B

stříkačka polypropylen Voda pro injekci (4°C) 25 mg/ml -20°C Chráněno před světlem
30 Den
3818
Úroveň zkoušky A

stříkačka polypropylen Voda pro injekci (4°C) 25 mg/ml -20°C Chráněno před světlem
28 Den
4697
Úroveň zkoušky C

stříkačka polypropylen Voda pro injekci (4°C) 25 mg/ml 2-8°C Chráněno před světlem
48 Hodina
3534
Úroveň zkoušky A

konfliktní údaje
stříkačka polypropylen Voda pro injekci (4°C) 25 mg/ml 2-8°C Chráněno před světlem
3 Den
3818
Úroveň zkoušky A

konfliktní údaje
stříkačka polypropylen Voda pro injekci (4°C) 25 mg/ml 2-8°C Chráněno před světlem
48 Hodina
4628
Úroveň zkoušky A+

konfliktní údaje
stříkačka polypropylen Voda pro injekci (4°C) 25 mg/ml 2-8°C Chráněno před světlem
4 Den
4697
Úroveň zkoušky C

konfliktní údaje
stříkačka polypropylen Voda pro injekci (4°C) 25 mg/ml 20-25°C Chráněno před světlem
2 Hodina
4697
Úroveň zkoušky C

stříkačka polypropylen Voda pro injekci (4°C) 25 mg/ml 4°C Chráněno před světlem
5 Den
3246
Úroveň zkoušky A+

konfliktní údaje

  Mentions Légales